ICS29.160. 30
K20 备案号
DL
中华人民共和I
电力行业标准
DL/T 1768—2017
旋转电机预防性试验规程
Preventive test code for rotat i ng eIectr ical mach i nes
2017-11-15 发布
2018-03-01 实施
国家能源局发布
DL/T 1768—2017
目 次
前言..............................................................................II
1 范围............................................................................1
2规范性引用文件..................................................................1
3术语和定义......................................................................1
4 总则............................................................................2
5同步发电机和调相机..............................................................3
6交流励磁机.....................................................................10
7直流励磁机及动力类直流电动机...................................................11
8交流电动机.....................................................................12
附录A (资料性附录)交流电机全部更换定子绕组时的交流试验电压.......................15
附录B (资料性附录)交流电机局部更换定子绕组时的交流试验电压.......................16
附录C (资料性附录)同步发电机、调相机定子绕组环氧云母绝缘老化鉴定试验项目和要求...17
附录D (资料性附录)同步发电机、调相机铁心磁化试验修正折算方法.....................19
附录E (资料性附录)电磁式定子铁心检测仪通小电流法.................................21
I
DL/T 1768—2017
⅜ > —1—
刖 百
本标准按照GBΛΓ 1.1-2009《标准化工作导则 第1部分:标准的结构和编写》给出的规则起草。
请注意本文件的某些内容可能涉及专利。本文件的发布机构不承担识别这些专利的责任。
本标准由中国电力企业联合会提出。
本标准由电力行业电机标准化技术委员会(DLTrC09)归口。
本标准起草单位:国网湖北省电力公司电力科学研究院、国网冀北电力科学研究院、广东电网有限 责任公司电力科学研究院、华电电力科学研究院东北分院、大唐陕西发电有限公司、大唐华东电力试验 研究所、国网湖南省电力公司电力科学研究院、国网山东省电力公司电力科学研究院、哈尔滨电机厂有 限责任公司、东方电气集团东方电机有限公司、上海电气电站设备有限公司上海发电机厂、山东齐鲁电 机制造有限公司。
本标准主要起草人:崔一伯、王劲松、张征平、王健军、李安奋、盛明堵、徐波、曹志伟、苏为民、 蔡万里、凌在汛、陈明、阮羚、史扬、焦晓霞、张国本、舒武庆、李霖,
本标准为首次发布。
本标准在执行过程中的意见或建议反馈至中国电力企业联合会标准化管理中心(北京市白广路二条 一号,100761)。
II
DL/T 1768—2017
I 范围
旋转电机预防性试验规程
本标准规定了旋转电机设备预防性试验的项目、周期和要求。
本标准适用于600OkW及以上的同步发电机、调相机及其交、直流励磁机,动力类直流电动机,75kW 及以上交流电动机等旋转电机,其他电机参照执行。
本标准不适用于矿用等特殊条件下的旋转电机。
2 规范性引用文件
下列文件对于本文件的应用是必不可少的。凡是注日期的引用文件,仅注日期的版本适用于本文件。 凡是不注日期的引用文件,其最新版本(包括所有的修改单)适用于本文件。
GBfT 1029三相同步电机试验方法
GBfT 16927.1-2011高电压试验技术第一部分:一般定义及试验要求
GBfT 20140隐极同步发电机定子绕组端部动态特性和振动测量方法及评定
GBfT 20160旋转电机绝缘电阻测试
DITT 298 发电机定子绕组端部电晕检测与评定导则
DL/T492 发电机环氧云母定子绕组绝缘老化鉴定导则
DITT 1522发电机定子绕组内冷水系统水流量超声波测量方法及评定导则
DLTT 1524发电机红外检测方法及评定导则
DL/T 1525隐极同步发电机转子匝间短路故障诊断导则
DITT 1612发电机定子绕组手包绝缘施加直流电压测量方法及评定导则
JB/T 6204高压交流电机定子线圈及绕组绝緣耐电压试验规范
JBΛΓ 6227氢冷电机气密封性检验方法及评定
JB/T 6228汽轮发电机绕组内部水系统检验方法及评定
JBb 6229隐极同步发电机转子气体内冷通风道检验方法及限值
3 术语和定义
下列术语和定义适用于本标准。
3.1
预防性试睑preventive test
为了发现运行中设备的隐患,预防发生事故或设备损坏,对设备进行的检查、试验或监测。
3.2
绝缘电阻 insulation resistance
在绝缘结构的两个电极之间施加的直流电压与流经该绝缘结构的电流之比。本规程中,若无说明, 均指加压Imin时的测得值。
3.3
吸收比 absorption ratio
在同一次试验中,Imin时的绝缘电阻值与15s时的绝缘电阻值之比。
3.4
极化指数 polarization index
DL/T 1768—2017
在同一次试验中,IOmin时测得的绝缘电阻值与Imin时测得的绝缘电阻值之比。
3.6
A 级检修 A class maintenance
A级检修是指对设备进行全面的解体检查和修理,以保持、恢复或提高设备性能。
3.7
B 级检修 B class maintenance
B级检修是指针对设备存在问题,对设备进行部分解体检查和修理。B级检修可根据设备状态评估 结果,有针对性地实施部分A级检修项目或定期滚动检修项目。
3.8
C 级检修 C class maintenance
C级检修是指根据设备的磨损、老化规律,有重点地对设备进行检查、评估、修理、清扫。C级检 修可进行少量零件的更换、设备的消缺、调整、预防性试验等作业以及实施部分A级检修项目或定期 滚动检修项目。
3.9
D 级检修 D class maintenance
D级检修是指当总体运行状况良好,而对主要设备的附属系统和设备进行消缺。D级检修除进行附 属系统和设备的消缺外,还可根据设备状态的评估结果,安排部分C级检修项目。
4 总则
4.1试验结果应与该设备历次试验结果相比较,与同类设备试验结果相比较,参照相关的试验结果,根 据变化规律和趋势,进行全面分析后做出判断。
4.2工频交流耐压试验,加至试验电压后的持续时间,凡无特殊说明者,均为Imin。工频试验电压的 频率范围为45Hz~55Hz,试验电压波形要求见GBZT 16927』一2011的6.2.1.1。
4.3进行耐压试验时,应将连在一起的各种设备隔离开来,单独试验(制造厂装配的成套设备不受此限 制),但同一试验电压的设备可以连在一起进行试验。已有单独试验记录的若干不同试验电压的电力设 备,在单独试验有困难时,可连在一起进行试验,试验电压应采用所连接设备中的最低试验电压。
4.4在进行与温度和湿度有关的试验(如测量直流电阻、绝缘电阻、介质损耗因数、泄漏电流等)时, 应同时测量被试品的温度和周围空气的温度和湿度。进行绝緣试验时,被试品温度不宜低于+5℃,且 空气相对湿度一般不高于80%。对不满足上述温度、湿度条件情况下测得的试验数据,应进行综合分 析,以判断电气设备是否可以投入运行。
4.4绝緣电阻在不同温度下的换算见GB/T 20160。
4.5在进行直流高压试验时,应采用负极性接线。
DL/T 1768—2017
5 同步发电机和调相机
容量为600OkW及以上的同步发电机、调相机的试验项目、周期和要求见表1, 600OkW以下者可参照执行。
表1容量为600OkW及以上的同步发电机、调相机的试验项目、周期和要求
|
序号 |
项 目 |
周期 |
_________要 求 |
______________说 明______________ | |
|
I |
定子绕组绝缘电阻、 吸收比或极化指数 |
1) B、C修时。 2) A修前、后。 3)必要时 |
1)绝缘电阻值自行规定,可参照设备技术要求,或 参照 GB/T 20160. 2)各相或各分支绝缘电阻值的差值不应大于最小值 的100%。 3)吸收比或极化指数:环氧粉云母绝缘吸收比不应 小于1.6或极化指数不应小于2.0;其他绝缘材料参照 制造厂规定。 4)对汇水管死接地的电机宜在无水情况下进行,在 有水情况下应符合制造厂的规定:对汇水管非死接地 的电机,测量时应消除水的影响__________ |
1)额定电压为IOOOV以上者,采用2500V绝缘电阻测试仪;额定电压为 20000V及以上者,可采用5000V绝缘电阻测试仪,量程一般不低于 10000MΩ. 2)水内冷发电机汇水管有绝缘者应使用专用绝缘电阻测试仪,汇水管对地 电阻及对绕组电阻应满足专用绝缘电阻测试仪使用条件,汇水管对地电阻可 以用数字万用表测量. 3) 200MW及以上机组推荐测量极化指数 | |
|
2 |
定子绕组直流电阻 |
1)不超过3年。 2) A修时。 3)必要时 |
各相或各分支的直流电阻值,在校正了由于引线长度 不同而引起的误差后,相互之间的差别不得大于最小 值的2%。换算至相同温度下与初次(出厂或交接时) 测量值比较,相差不得大于最小值的2%。超出此限 值者,应查明原因__________________ |
1)在冷态下测量时,绕组表面温度与周围空气温度之差不应大于±3寸。 2)相间(或分支间)差别及其历年的相对变化大于1%时,应引起注意 | |
|
3 |
定子绕组泄漏电流和 直流耐压 |
1)不超过3年。 2) A修前、后。 3)更换绕组后。 4)必耍时 |
1)额定电压为270OOV及以下的发电机试验电压如下: |
1)检修前试验,应在停机后清除污秽前,尽量在热态下进行。氢冷发电机 在充氢条件下试验时,氢纯度应在96%以上,严禁在置换过程中进行试验。 2)试验电压按每级0.5 UN分阶段升高,每阶段停留Imino 3)不符合2)、3)要求之一者,应尽可能找出原因并消除,但并非不能运 行。 4)泄漏电流随电压不成比例显著增长时,应注意分析。___________ | |
|
全部更换定子绕组并修好后 |
3.0UN | ||||
|
局部更换定子绕组并修好后 |
2.5 UN | ||||
|
A修前,运行20年及以下者 |
2.5 UN | ||||
DL/T 1768—2017
|
A修前,运行20年以上与架空线直 接连接者 |
2.5 UN |
5)试验应采用高压屏蔽法接线,微安表接在高压侧;必要时可对出线套管 表面加以屏蔽。水内冷发电机汇水管有绝缘者,应采用低压屏蔽法接线;汇 水管死接地者,应尽可能在不通水和引水管吹净条件下进行试验。冷却水质 应满足制造厂技术说明书中相应要求,如有必要,应尽量降低内冷水电导率。 6)应将试验结果与历次试验结果比较,不应有显著的变化。 7)对汇水管宜接接地的发电机在不具备做直流泄漏试验的条件下,可在通 水条件下进行宜流耐压试验,总电流不应突变 | ||||
|
A修前,运行20年以上不与架空线 宜接连接者 |
(2.0 〜2.5) UN | |||||
|
A修后或其他检修时 |
2.0UN | |||||
|
2)在规定的试验电压下,各相泄漏电流之间的差别 不应大于最小值的100%:最大泄漏电流在20μA以下 者,可不考虑各相泄漏电流之间的差别。 3)泄漏电流不随时间的延长而增大 | ||||||
|
4 |
定子绕组工频交流耐 压 |
D A修前。 2)更换绕组后 |
1)全部更换定子绕组并修好后的试验电压如下: |
1)检修前的试验,应在停机后清除污秽前,尽可能在热态下进行。处于备 用状态时,可在冷状态下进行。氢冷发电机在充氢条件下试验时,氢纯度应 在96%以上,严禁在置换过程中进行试验。 2)水内冷电机一般应在通水的情况下进行试验,冷却水质应满足制造厂技 术说明书中相应耍求。 3)在采用变蹶谐振耐压时,试验频率应在45Hz〜55 Hz范围内。 4)全部或局部更换定子绕组的工艺过程中的试验电压参见附录A、附录B。 5)有条件时,可采用超低频(0.1HZ)耐压,试验电压峰值为工频试验电压 的1.2倍 | ||
|
容量 kW 或 kVA |
额定电压UN V |
试验电压 V | ||||
|
小于10000 |
380以上 |
2{∕n +1000 但最 低为1500 | ||||
|
I(MxM)及以上 |
6000以下 |
2.5 UN | ||||
|
6000~ 24000 |
2Un+1∞0 | |||||
|
24000以上 |
2Un+10∞ 或按 设备特殊要求 | |||||
|
2) A修前或局部更换定子绕组并修好后试验电压为: | ||||||
|
运行20年及以下者________ |
1.5 UN | |||||
|
运行20年以上与架空线路直接连 接者______________ |
1.5 UN | |||||
DL/T 1768—2017
|
运行20年以上不与架空线路直接 连接者____________ |
(1.3〜1.5) t⅛ | |||||
|
5 |
转子绕组绝缘电阻 |
1) B、C修时。 2) A修中转子清 扫前、后。 3)必要时 |
1)绝缘电阻值一般不小于0.5Ma。 2)水内冷转子绕组绝缘电阻值一般不应小于5kC |
1)采用IoOOV绝缘电阻测试仪测量。转子水内冷发电机用250V〜500V绝 缘电阻测试仪。 2)对于300MW以下的隐极式电机,当转子绕组未干燥完毕时,如果转子 绕组的绝缘电阻值在75℃时不小于2kd 或在20℃时不小于20kd 在排除 转子绕组有接地的前提下,允许转子绕组投入运行。 3)对于300MW及以上的隐极式电机,转子绕组的绝缘电阻值在10∙C-30,C 时不小于0.5Ma____________________________________ | ||
|
6 |
转子绕组直流电阻 |
1) A修时。 2)必要时 |
与初次(出厂、交接或首次A修)所测结果比较,换算 至同一温度下其差别一般不超过2% |
1)在冷态下进行测量。 2)显极式转子绕组还应对各磁极线圈间的连接点进行测量。 3)对于频繁启动的燃气轮机发电机,应在A、B, C修时测量不同角度的转 子绕组直流电阻___________________________ | ||
|
7 |
转子绕组交流耐压 |
1)凸极式转子A 修时和更换绕组 后。 2)隐极式转子拆 卸护环后,局部 修理槽内绝缘和 更换绕组后 |
试验电压如下: |
1)隐极式转子拆卸护环只修理端部绝缘时,可用250OV绝缘电阻测试仪测 绝缘电阻代替。 2)同步发电机转子绕组全部更换绝缘时的交流试验电压按制造厂规定 | ||
|
凸极式和隐极式转子全部 更换绕组并修好后 |
额定励磁电压500V及 以下者为IOUN,但不低 于1500V; 500V以上者 为 2 Un +40OoV_______ | |||||
|
凸极式转子A修时及局部 更换绕组并修好后 |
5Un,但不低于IOOOV1 不大于200OV_______ | |||||
|
隐极式转子局部修理槽内 绝緣后及局部更换绕组并 修好后 |
5Un,但不低于IOOOV, 不大于20OOV | |||||
|
8 |
发电机和励磁机的励 磁回路所连接设备 (不包括发电机转子 |
1) A、B、C 修时。 2)必要时 |
绝缘电阻值不应低于0,5MC,否则应查明原因并消除 |
1) A修时用250OV绝缘电阻测试仪. 2) B、C修时用IOOoV绝缘电阻测试仪 | ||
DL/T 1768—2017
|
和励磁机电枢)的绝 缘电阻 | ||||
|
9 |
发电机和励磁机的励 磁回路所连接的设备 (不包括发电机转子 和励磁机电枢)交流 耐压 |
A修时 |
试验电压为IOOOV |
可用2500V绝缘电阻测试仪测绝缘电阻代替 |
|
IO |
定子铁芯磁化试验 |
1)重新组装或更 换、修理硅钢片 后。 2)必耍时 |
1)折算至规定的磁密和时间下,铁芯相同部位(齿或 槽)的最高温升不大于25K、最大温差不大于15K . 2)对运行年久的电机,应根据历史数据自行规定 |
1)水轮发电机的磁通密度应为LOT,不宜低于0.9T:汽轮发电机的磁通密 度应在1.4T,不宜低于1.26T,在磁密为1.4T下持续时间为45min。当试验 时的磁密与要求的磁密不相等时,应改变试验持续时间,持续试验时间与磁 密折算方法参见附录C.I.对直径较大的水轮发电机试验时应注意校正由于 磁通密度分布不均匀所引起的误差。 2)受现场条件限制时,在磁密为IT下持续试验时间为90min。 3)铁芯磁化试验比损耗及试验数据修正折算方法参见附录C 4)采用红外成像仪进行温度测量。 5)定子铁芯初始温度和环境温度温差应不超过5K。 6)对于铁芯局部故障修理后或者需查找铁芯局部缺陷的电机,可使用电磁 式定子铁芯检测仪通小电流法对铁芯局部进行检测,推荐判定标准参见附录 D。但最终判断依据为全磁通方法_____________________ |
|
11 |
发电机组和励磁机轴 承绝缘电阻 |
A修时 |
1)汽轮发电机组的轴承不得低于0.5MQ。 2)立式水轮发电机组的推力轴承每一轴瓦不得低于 100MΩi油槽充油并顶起转子时,不得低于0.3Ms1。 3)所有类型的水轮发电机,凡有绝缘的导轴承,油 槽充油前,每一轴瓦不得低于IOOMa________ |
汽轮发电机组的轴承绝缘,用IoooV绝缘电阻测试仪在安装好油管后进行测 量 |
|
12 |
灭磁电阻器(或自同 期电阻器)直流电阻 |
A修时 |
线性电阻与铭牌或最初测得的数据比较,其差别不应 超过】0%___________________________ |
非线性电阻遵照厂家规定执行 |
DL/T 1768—2017
|
13 |
灭磁开关并联电阻 |
A修时 |
与初始值比较应无显著差别___________ |
电阻值应分段测量 |
|
14 |
转子绕组的交流阻抗 和功率损耗 |
1) A修时。 2)必要时 |
a)阻抗和功率损耗值在相同试验条件下与历年数值 比较,不应有显著变化。 b)出现以下变化时应注意: 1)交流阻抗值与出厂数据或历史数据比较,减小 超过]0%; 2)损耗与出厂数据或历史数据比较,增加超过 10%; 3)当交流阻抗与出厂数据或历史数据比较减小超 过8%,同时损耗与出厂数据或历史数据比较增加超 过8%; 4)在转子升速与降速过程中,相邻转速下,相同 电压的交流阻抗或损耗值发生5%以上的突变时 |
1)隐极式转子在膛外或膛内以及不同转速下测量,显极式转子对每一个转 子绕组测量。 2)每次试验应在相同条件、相同电压下进行,试验电压为220V(交流有效 值)或者参考出厂试验和交接试验电压值,但峰值不超过额定励磁电压, 3)本试验可用动态匝间短路监测法或极平衡法试验代替。 4)与历年数值比较,如果变化较大可采用动态匝间短路监测法、.重复脉冲 法等方法查明转子绕组是否存在匝间短路。 5)测量转速见DlTTI525,转速间隔300r∕min |
|
15 |
重复脉冲(RSo)法 测量转子匝间短路 |
必要时 |
评定准则见D17T1525 |
试验条件、设备及方法见DUTl525 |
|
16 |
检温计绝缘电阻 |
A修时 |
绝缘电阻值自行规定 |
用250V及以下的绝缘电阻测试仪 |
|
17 |
定子槽部线圈防晕层 对地电位 |
必要时 |
大于IOV应引起注意 |
1)运行中检温元件电位升高、槽楔松动、防晕层损坏或者检修时退出过槽 楔时测量。 2)试验时对定子绕组施加额定交流相电压值,用高内阻电压表测量绕组表 面对地电压值。 3)有条件时可采用超声法' 高频信号法探测槽放电____________ |
|
IS |
隐极同步发电机定子 绕组端部动态特性和 振动测量 |
1) A修时。 2)必要时 |
1)对于2极汽轮发电机,定子绕组端部整体椭圆振 型固有频率应避开95Hz〜IIOHZ范围,对于4极汽轮 发电机,定子绕组端部整体4瓣振型固有频率应避开 95Hz〜IloHZ范围;定子绕组相引线和主引线固有频 率应避开95Hz〜108HZ范围。 |
1)适用于200MW及以上汽轮发电机,200 MW以下的汽轮发电机参照执行 2)水内冷发电机应尽可能在通水条件下测量。 3)对于引线固有频率不符合要求,且测得的响应比小于0.44m/(s2■N) 的测点,可不进行处理,响应比大于或等于0.44m/(s2■N)的测点,新 机应尽量采取措施进行绑扎和加固处理,已运行的发电机应结合历史情况综 |
DL/T 1768—2017
|
2)对引线固有频率不满足1)中要求的测点,应测量 其原点响应比。在需要避开的频率范围内,测得的响 应比不大于0.44m∕(s2 ∙N) = 3)如果整体振型固有频率不满足1)中的要求,应测 量端部各线棒径向原点响应比__________ |
合分析处理。 4)对于整体振型固有频率不满足要求,且测得响应比小于 0.44m/(s2■N)的测点,可不进行处理,响应比大于或等于 0.44m/(s2•N)的测点,建议测量运行时定子绕组端部的振动。 5)测量方法见GB" 20140_______________________________ | |||
|
19 |
定子绕组端部手包绝 缘施加直流电压测量 |
1) A修时。 2)现包绝缘后。 3)必要时 |
1)直流试验电压值为Un。 2)交接或现包绝缘后,测量电压限值IoOOV,测量 泄漏屯流限值10μAo 3) A修时,测量电压限值2000V,测量泄漏电流眼 值 20μA |
1)本项试验适用于200MW及以上的定子水内冷汽轮发电机。 2)应尽可能在通水条件下进行试验。 3)测量时,与微安表串接的电阻阻值为IOOMdJ 4)测量方法见DITT 1612 |
|
20 |
定子绕组内部水系统 流通性 |
1) A修时。 2)必要时 |
1)超声波流量法:各线棒、引线和出线套管的水流 量分别与同类型所有支路平均水流量的负偏差不大 于 10%。 2)热水流法:按照JBZT 6228执行____________ |
1)本项试验适用于200MW及以上的水内冷汽轮发电机。 2 )测量时定子内冷水按正常(运行时的)压力循环。 3)测量方法见DITT 1522 |
|
21 |
定子绕组端部电晕 |
1) A修时。 2)必要时 |
评定准则见D17T 298 |
检测方法见DLTT 298 |
|
22 |
转子气体内冷通风道 检验 |
A修时 |
限值见制造厂规定或JB/T 6229 |
检验方法见JB/T 6229 |
|
23 |
气密性试验 |
1) A修时。 2)必耍时 |
评定准则见JB/T 6227 |
检测方法见JB/T 6227 |
|
24 |
水压试验 |
1) A修时。 2)必要时 |
评定准则见JB/T 6228 |
检测方法见JB/T 6228 |
|
25 |
轴电压 |
1) A修时。 2)必要时 |
1)汽轮发电机大轴接地端(汽端)的轴承油膜被短路 时,大轴非接地端(励端)轴承与机座间的电压应接近 等于轴对机座的电压。 2)汽轮发电机大轴非接地端(励端)的轴对地电压一般 |
1)应在额定转速和额定电压下空载运行时测量,测量时采用高内阻(不小 于IOOkC/V)的交流电压表。 2)如果测得的大轴非接地端(励端)轴承与机座间的电压与轴对机座的电压相 差较多,应查明原因。____________________________ |
DL/T 1768—2017
|
小于2OV. 3)水轮发电机只测量轴对机座电压 |
3)端盖轴承的轴瓦处未引出线时可不测量该轴承对机座电压 | |||
|
26 |
环氧云母定子绕组绝 缘老化鉴定 |
1)累计运行时间 20年以上且运行 或预防性试验中 绝缘频繁击穿 时。 2)必要时 |
评定准则参见附表E |
试验项目、方法见DL/T492 |
|
27 |
空载特性曲线 |
1) A修后。 2)更换绕组后 |
a)与出厂(或以前测得的)数据比较,应在测量误差的 范围以内。 b)在额定转速下的定子电压最高值: 1)水轮发电机为1.3Un(以不超过额定励磁电流为 限): 2)汽轮发电机为1.2Un(带变压器时为LO5Un)。 C)对于有匝间绝缘的电机最高电压为1.3Un,持续时 间为5min |
D无启动电动机的同步调相机不做此项试验。 2)对于发电机变压器组,一般可以只做带主变压器的整组空载特性试验 |
|
28 |
三相稳定短路特性曲 线 |
1)更换绕组后. 2)必要时 |
与出厂(或以前测得的)数据比较,其差别应在测量误 差的范围以内 |
1)无启动电动机的同步调相机不做此项试验。 2)对于发电机变压器组,一般可以只做带主变压器的整组短路特性试验。 3)最大短路电流不低于额定电流_____________________ |
|
29 |
发电机定子开路时灭 磁时间常数 |
更换灭磁开关后 |
时间常数与出厂试验或更换前相比较应无明显差异 | |
|
30 |
检查相序_____ |
改动接线时 |
应与电网的相序一致_______________ | |
|
31 |
温升试验 |
D定、转子绕组 更换后. 2)冷却系统改进 后。 |
应符合设备技术要求 |
如对埋入式温度计测量值有怀疑时,用带电测平均温度的方法进行校核 |
DL/T 1768—2017
|
3)第一次A修前。 4)必要时 | ||||
|
32 |
效率试验 |
必要时 |
试验方法见GB/T1029 | |
|
33 |
红外检测 |
见 DITT 1524 |
评定准则见DITT 1524___________________ |
检测方法见DLZT 1524___________________________________ |
|
6 交流励磁机 交流励磁机的试验项目、周期和要求见表2。 表2交流励磁机的试验项目、届 |
期和要求 | |||
|
序号 |
项 目 |
周 期 |
_________要 求_________ |
_______________说 明_______________ |
|
1 |
绕组绝缘电阻 |
A, B、C修时 |
绝缘电阻值不应低于0.5MQ |
1000V以下的交流励磁机,励磁绕组使用500V绝缘电阻测试仪,电枢绕组 使用10∞V绝缘电阻测试仪测量:IooOV及以上者使用2500V绝缘电阻测试 仪测量_______________________________ |
|
2 |
绕组直流电阻 |
A修时 |
1)各相绕组直流电阻值的相互间差别不超过最小值 的2%。 2)励磁绕组直流电阻值与出厂值比较不应有显著差 别__________________________ | |
|
3 |
绕组交流耐压 |
A修时 |
试验电压为出厂试验电压的75% |
副励磁机的交流耐压试验可用IO(X)V绝缘电阻测试仪测绝缘电阻代替 |
|
4 |
旋转电枢励磁机熔断 器直流电阻 |
A修时 |
直流电阻值与出厂值比较不应有显著差别 | |
|
5 |
可变电阻器或启动电 阻器直流电阻 |
A修时 |
与出厂数值或最初测得值比较相差不得超过10% |
IOOOV及以上中频发电机应在所有分接头上测量 |
|
6 |
交流励磁机特性 |
1)更换绕组后。 2)必要时 |
与制造厂或交接试验数据比较应在测量误差范围内 |
I)空载特性:测录至出厂或交接试验的试验电压值。 2)永磁励磁机测录不同转速下空载输出电压,测录至额定转速。 3)负载特性:仅测录励磁机的负载特性;测录时,以同步发电机的励磁绕 |
DL/T 1768—2017
|
组为负载______________________________ | ||||
|
7 |
温升试验 |
必要时 |
按制造厂规定__________________ | |
|
注:A、B、C、D级检修均指所属发电机或调相机的检修级别。____________________________________________________________________ | ||||
7 直流励磁机及动力类直流电动机
直流励磁机及动力类直流电动机的试验项目、周期和要求见表3。
表3直流励磁机及动力类直流电动机的试验项目、周期和要求
|
序号 |
项 目 |
周 期 |
_________要 求_________ |
______________说 明______________ |
|
1 |
绕组绝缘电阻 |
A、B, C修时 |
绝缘电阻值一般不低于0.5Ma |
1)用IOOOV绝缘电阻测试仪。 2)对励磁机旋转的电枢绕组应测量电枢绕组对轴和金属绑线的绝缘电阻 |
|
2 |
绕组直流电阻 |
A修时 |
1)与出厂试验数据或以前测得值比较,相差一般不 大于2%;补偿绕组自行规定。 2) IookW以下的不重要的电机自行规定 | |
|
3 |
电枢绕组片间直流 电阻_______ |
A修时 |
相互间的差值不应超过正常最小值的】0% |
1)由于均压线产生的有规律变化,应在各相应的片间进行比较判断。 2)对波绕组或蛙绕组应根据在整流子上实际节距测量电阻值_______ |
|
4 |
绕组交流耐压 |
A修时 |
磁场绕组对机壳和电枢对轴的试验电压为IOOOV |
IOOkW以下不重要的直流电机电枢绕组对轴的交流耐压可用2500V绝缘电 阻测试仪测绝缘电阻代替_______________________ |
|
5 |
磁场可变电阻器直 流电阻 |
A修时 |
与铭牌数据或最初测量值比较相差不应大于10% |
应在不同分接头位置测量,电阻值变化应有规律性 |
|
6 |
磁场可变电阻器绝 缘电阻 |
A修时 |
绝缘电阻值一般不低于0.5MQ |
1)磁场可变电阻器可随同励磁回路进行。 2)用250OV绝缘电阻测试仪___________________________ |
|
7 |
碳刷中心位置调整 |
A修时 |
核对位.置是否正确,应满足良好换向要求______ |
必要时可做无火花换向试验______________________ |
|
8 |
绕组极性及其连接 正确性检查 |
接线变动时 |
极性和连接均应正确 | |
|
9 |
电枢及磁极间空气 |
A修时 |
各点气隙与平均值的相对偏差应在下列范围: |
DL/T 1768—2017
|
间隙测量 |
3mm以下气隙 |
+10% | |||
|
3mm及以上气隙 |
±5% | ||||
|
IO |
直流发电机特性 |
1)更换绕组后。 2)必要时 |
与出厂试验数据比较,应在测量误差范围内 |
1)空载特性:测录至最大励磁电压值。 2)负载特性:仅测录励磁机负载特性;测量时,以同步发电机的励磁绕组 作为负载。 3)外特性:必要时进行。 4)励磁电压的增长速度:在励磁机空载额定电压下进行__________ | |
|
11 |
直流电动机空转检 查 |
I ) A修后。 2)更换绕组后 |
1)转动正常。 2)调速范围合乎要求 |
空转检查的时间一般不小于Ih | |
注:直流励磁机A、B、C、D级检修均指所属发电机或调相机的检修级别。
8 交流电动机
交流电动机的试验项目、周期和要求见表4。
|
表4 交流电动机的试验项目、盾 |
期和耍求 | ||||
|
序号 |
項 |
目 |
周 期 |
_________要 求_________ |
______________说 明______________ |
|
1 |
绕组绝缘电阻和 吸收比 |
1)小修时。 2)大修时 |
a)绝缘电阻值: 1)额定电压3Q0QV以下者,室温下不应低0.5MΩ; 2)额定电压300OV及以上者,交流耐压前,定子绕 组在接近运行温度时的绝缘电阻值不应低于UN MQ(取UN的kV数,下同):投运前室温下(包括电缆) 不应低于UN MΩ; 3)转子绕组不应低于0.5MQ. b)吸收比自行规定_________________ |
1) 500kW及以上的电动机,应测量吸收比(或极化指数),环氧粉云母绝缘 吸收比不应小于1.6或极化指数不应小于2.0。 2) 300OV以下的电动机使用IoOOV绝缘电阻测试仪:300OV及以上者使用 2500V绝缘电阻测试仪。 3)小修时定子绕组可与其所连接的电缆,•起测量,转子绕组可与启动设备 一起测量。 4)有条件时可分相测量 | |
|
2 |
绕组直流电阻 |
1)不超过2年 (10∞V及以上或 |
1) 300OV及以上或IOOkW及以上的电动机各相绕组 直流电阻值的相互差别不应超过最小值的2%;中性 | ||
DL/T 1768—2017
|
IookW及以上)。 2)大修时。 3)必要时 |
点未引出者,可测量线间电阻,其相互差别不应超过 1%。 2)其余电动机自行规定。 3)应注意相互间差别的历年相对变化_______ | |||||
|
3 |
定子绕组泄漏电 流和直流耐压 |
1)大修时。 2)更换绕组后 |
1)试验电压:全部更换绕组时为3Un,大修或局部 更换绕组时为2.51¼ 2)泄漏电流相间差别一般不大于最小值的100%,泄 漏电流为20μA以下者不作规定。 3)中性点未引出不能分相试验的电机泄漏电流自行 规定。 4) IOOOV以下电机可不进行该试验__________ |
1)有条件时可分相进行。 2)炉水泵电机不开展此项试验 | ||
|
4 |
定子绕组交流耐 压 |
1)大修后。 2)更换绕组后 |
I)大修时不更换或局部更换定子绕组后试验电压为 1.5Un,但不低于IOOOVo 2)全部更换定子绕组后试验电压为(2UN+1。OO)V,但 不低于150OV_________________________ |
1)试验电源频率为工频,工频交流耐压频率范围为45 Hz〜55Hz。 2) IOOOV以下和IOOkW以下不重要的电动机,交流耐压试验可用2500V绝 缘电阻测试仪测量绝缘电阻代替。 3)更换定子绕组时工艺过程中的交流耐压试验按制造厂规定_______ | ||
|
5 |
绕线式电动机转 子绕组交流耐压 |
1)大修后。 2)更换绕组后 |
试验电压如下: |
1)绕线式电机己改为直接短路启动者,可不做交流耐压试验 2) Uk为转子静止时在定子绕组上加额定电压,于滑环上测得的电压 | ||
|
不可逆式 |
可逆式 | |||||
|
大修不更换转子 绕组或局部更换 转子绕组后 |
1.5t4∙但不小 于 IOoOV |
3.014*但不小于 2000V | ||||
|
全部更换转子绕 组后 |
2t∕k+IOOOV |
4t∕k+10∞V | ||||
|
6 |
同步电动机转子 绕组交流耐压 |
大修时 |
试验电压为IOooV |
可用2500V绝缘电阻测试仪测量绝缘电阻代替 | ||
|
7 |
可变电阻器或启 动电阻器直流电 |
大修时 |
与出厂数值或最初测得结果比较,相差不应超过10% |
1000V及以上的电动机应在所有分接头上测量 | ||
DL/T 1768—2017
|
阻 | ||||
|
8 |
可变电阻器与同 步电动机灭磁电 阻器交流耐压 |
大修时 |
试验电压为1000V |
可用2500V绝缘电阻测试仪测量绝缘电阻代替 |
|
9 |
同步电动机及其 励磁机轴承绝缘 电阻 |
大修时 |
绝缘电阻不应低于0.5MΩ |
在油管安装完毕后,用IOOOV绝缘电阻测试仪测量 |
|
IO |
转子金属绑线交 流耐压 |
大修时 |
试验电压为IOOOV |
可用25∞V绝缘电阻测试仪测量绝缘电阻代替 |
|
Il |
定子绕组极性检 查 |
接线变动时 |
定子绕组的极性与连接应正确 |
1)对双绕组的电动机,应检查两分支间连接的正确性。 2)中性点无引出者可不检查极性_____________________ |
|
12 |
定子铁芯磁化试 验 |
1)全部更换绕组 时或修理铁芯后 2)必要时 |
参照表1第10条内容 |
1) IOOOV或50OkW及以上电动机应做此项试验。 2)如果电动机定子铁芯没有局部缺陷,只为检查整体叠片状况,可仅测量 空载损耗值_____________________________ |
|
13 |
电动机空转并测 空载电流和空载 损耗 |
必要时 |
I)转动正常,空载电流自行规定。 2)额定电压下的空载损耗值不得超过原来值的50% |
1)空转检查的时间一般不小于IL 2)测定空载电流仅在对电动机有怀疑时进行。 3) IOOOV以下电动机仅测空载电流不测空载损耗______________ |
|
注:"大修"对应的为电动机抽转子检修,"4 |
、修”对应的为电动机不抽转子检修。_________________________________________________ | |||
DL/T 1768—2017
附录A
(资料性附录)
交流电机全部更换定子绕组时的交流试验电压
A. 1不分瓣定子圈式线圈的试验电压见表A.1。
表A l不分瓣定子圈式线圈的试验电压 kV
|
序号 |
试验阶段 |
试验形式 |
SN (PN) <10 |
SN (PN) >10 | |
|
UB2 |
2<UnW6.3 |
6.3VUNW24 | |||
|
I |
新线圈F线前 |
— |
2.75 UN +4.5 |
2.75 UN 日.5 |
2.75 UN +6.5 |
|
-2- |
下线打槽楔后 |
— |
2.5 ⅛+2.5 |
2.5UN +2.5 |
2.5 UN +4.5 |
|
3 |
并头、连接绝缘后 |
分相 |
2.25 UN +2.0 |
2.25 UN+2.0 |
2.25 Un+4.Q |
|
4 |
电机装配后 |
^i |
2.0 Un+1.0 |
2.0{∕n+1.0 |
2+0 UN+LO |
|
注:L |
24kV以上电压等级按与制造厂签订的专门协议。 | ||||
A. 2不分瓣定子条式线圈的试验电压见表A. 2。
表A.2不分瓣定子条式线圈的试验电压 kV
|
序号 |
试验阶段 |
试验形式 |
SN (PN) VIO |
SN (PN) 210 | |
|
UG2 |
2<UnW63 |
6.3CUNW24 | |||
|
-i- |
新线圈下线前 ^ |
— |
2.75 UN +4.5 |
2.75 Un+4.5 |
2.75 Un+6.5 |
|
2 |
下层线圈下线后 |
— |
2.5 UN +2.5 |
2.5 UN +2.5 |
2.5UN +4.5 |
|
3 |
上层线圈下线后打完槽楔与 下层线圈同试 |
— |
2.5 UN+2.0 |
2.5 Un +20 |
2.5(∕n +4.0 |
|
4 |
焊好并头,装好连线,引线包 好绝缘 |
分相 |
2∙25Un +2.0 |
2.25 Un+2.0 |
Z25Un+4∙0 |
|
—5— |
电机装配后 ^ |
分相 |
2.0UN+LO |
2.0UN+l∙0 |
2.0Un+1Q |
注:1.24kV以上电压等级按与制造厂签订的专门协议.
DL/T 1768—2017
附录B
(资料性附录)
交流电机局部更换定子绕组时的交流试验电压
B. 1整台圈式线圈(在电厂修理)的试验电压见表B. 1。
表B.1整台圈式线圈(在电厂修理)的试验电压 kV
|
序号 |
试验阶段 |
试验形式 |
SN (尸N) <10 |
SN (PN) 210 | |
|
Un22 — |
2<Un=≤63 |
6.3VUNW24 | |||
|
I |
新线圈下线而 |
— |
2.75 UN +4.5 |
2.75 UN +45 |
275 UN +65 |
|
-2- |
下线后打完槽楔 |
— |
0.75x(25 Un+2.5) |
0∙75(2.5Un +2.5) |
0.75(2.5 i/N +4.5) |
|
-3~' |
并头、连接绝缘后,定子完成 |
分相 |
0.75(2.25 Un+2.0) |
0.75x(2.25 Un+2.0) |
0.75(2.25 ⅛+4.0) |
|
4 |
电机装配后 |
-^i- |
0.75(225Un+LO) |
0.75(Z25 Un+LO) |
0+75(Z25Un+1∙0) |
|
注1:对于运行年久的电机,序号3, 4项试验电压值可根据具体条件适当降低。 注2: 24kV以上电压等级按与制造厂签订的专门协议Q | |||||
B. 2整台条式线圈(在电厂修理)的试验电压见表B. 2。
表B.2整台条式线圈(在电厂修理)的试验电压 kV
|
序号 |
试验阶段 |
试验 形式 |
SN (PN) VIo |
SN (PN)》10 | |
|
Un — |
2<UnW6.3 |
6.3<UnW24 | |||
|
i |
线圈下线前 |
— |
2.75Un+4.5 |
2.75 Un+4.5 |
2.75 Un+6.5 |
|
2 |
下层线圈下线后 |
— |
0.75Q.5Un +2.5) |
0.75(2.5 Un+2.5) |
0.75(2.5 UN+4.5) |
|
3 |
上层线圈下线后,打完槽楔与 下层线圈同试 |
— |
0.75(2.5 UN +2.0) |
0.75(2.5 Un+2.0) |
0.75(2.5 UN+4.0) |
|
4 |
焊好并头,装好接线,引线包 好绝缘,定子完成 |
分相 |
0∙75(Z25Un+2∙0) |
0.75(2.25 ^n+2.0) |
0.75(2.25 Un+4.0) |
|
-5- |
电机装配后 |
分相 |
~0.75(2.0Un+1∙0)~^ |
^~0∙75(Z5Qn+L0)~^ |
~0.75(2∙0Un+L0)~ |
注1:对于运行年久的电机,试验电压值可根据具体条件适当降低。
注2: . 24kV以上电压等级按与制造厂签订的专门协议。
DL/T 1768—2017
附录E
(资料性附录)
同步发电机、调相机定子绕组环氧云母绝缘老化鉴定试验项目和要求
同步发电机、调相机定子绕组环氧云母绝缘老化鉴定试验项目和要求见表E. 1。
表E.1同步发电机、调相机定子绕组环氧云母绝缘老化鉴定试验项目和要求
|
序号 |
项 H |
要 求 |
说 明 | |||||
|
1 |
测量整相绕组 (或分支)对地 及单根线棒的 tand 值 |
])整相绕组(或分支)的AtanaN值和tan<⅛值小于下列规定值时合 格:____________________________________________ |
1)整相(或分支)绕组的 Atan⅜值达到2.5%时"■ 加强监视。 2)电晕严重的发电机(包 括无防晕处理的发电机) AtanJN值和tan⅛值有时 会超出表中规定值,鉴定 时应注意,不要和正常老 化机组混淆 | |||||
|
定子电压等级 kV |
Atan^N % |
tan^N % | ||||||
|
10.5~24 |
4 |
6 | ||||||
|
2)单根线棒的AtandN值和tan%值大于或等于下列值: | ||||||||
|
定子电压等级 kV |
Atan-N % |
IandN % | ||||||
|
相邻0.2UN 电压间隔下 的最大差值 |
0.8UN 和 0.2队电压间 隔下的差值 |
在UN电压下 | ||||||
|
10.5 〜24 |
2 |
3 |
5 | |||||
|
3)相同试验条件下Atan⅛t值和tan⅛,与上次试验值相比明显增大 时,本项试验为不合格 | ||||||||
|
2 |
测量整相绕组 (或分支)对地 及单根线棒的 电容增加率 |
1)整相绕组(或分支)的电容增加率小于下列规定值时合格: | ||||||
|
定子电压等级 kV |
电容增加率AC % | |||||||
|
10.5~24 |
8 | |||||||
|
2)单根线棒的电容增加率小于下列规定值时合格: | ||||||||
|
定子电压等级 kV |
电容增加率AC % | |||||||
|
10.5~24 | ||||||||
|
3)相同试验条件下AC与上次试验值相比较明显增大时不合格 | ||||||||
|
3 |
测量整相绕组 (或分支)及单 根线棒的局部 放电量 |
整相绕组(或分支)和单根线棒的局部放电量小于下列规定值时合 格:____________________________________________ |
1)定子绕组端部表明脏污 或受潮时,会出现局部放 电量偏高现象。 2)局部放电量高达 30000pC~40000pC 时, 应引起高度重视并注意历 年变化________ | |||||
|
定子电压等级 kV |
在试验电压UNz3下的最大局部放电量 PC | |||||||
|
10.5 〜24 |
IOOOO | |||||||
|
4 |
整相绕组(或分 支)及单根线棒 的介电强度试 验 |
整相绕组(或分支)满足本规程表1中序号3、4有关规定时合格; 单根线棒满足JB/T 6204有关规定时合格 | ||||||
注1:介质损耗因数增量Atan赤指额定电压UN下介质损耗因数tan)N和局部放电起始电压下(推荐为0.2UN)的介质
DL/T 1768—2017
损耗因数tan&>的差值。
注2:单根线棒相邻0.2UN电压间隔下的最大差值指LOUN和0.8Un、0.8UN和0.6Un、0,6UN和Q.4UN及0.4UN和0.2UN
|
注3: 注4: |
下tan<5的最大差值。 电容增加率指额定电压UN下绕组对地电容CN局部放电起始电压下绕组对地电容G相比的增量。 鉴定试验时,应首先做整相绕组绝缘鉴定试验,整相绕组试验不合格者,应做单根线棒的抽样鉴定试验和解剖 |
|
注5: |
检查,发现绝缘严重分层发空、固化不良、失去整体性、局部放电严重及股间绝缘破坏等老化现象,即判断为 绝缘老化。 单根线棒的抽样部位以上层线棒为主,并考虑不同电位下运行的线棒。抽样量为:汽轮发电机不少于3根;水 轮发电机不少于6根. |
DL/T 1768—2017
附录C
(资料性附录)
同步发电机、 调相机铁芯磁化试验修正折算方法
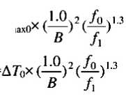
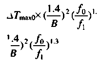
C.1铁芯磁化试验的磁通密度不满足要求时试验时间的修正折算 a)汽轮发电机试验时间的修正折算:
z = (-)2×45 (CI)
B
式中:
/--试验时间,min;
B..磁通密度,T。
b)水轮发电机试验时间的修正折算: 1 0 ,
r =(—)2×90 (C.2)
C.2铁芯磁化试验铁芯单位损耗的修正折算
a)汽轮发电机修正折算到磁通密度1.5T,频率50Hz:
片(].5)=——空—'
式中:
Pl——试验计算的定子铁芯比损耗,W; P——实测功率,Wi WzI..励磁线圈匝数;
牝一一测量线圈匝数; 加——基准频率,50HZ或60Hz; 力——试验时的实测电源频率,Hz; m——定子铁芯Φ≡部质量,kg。
b)水轮发电机修正折算到磁通密度LoT,频率50Hz:
C.3定子铁芯比损耗Pl的限制
作为辅助的铁芯质量判别方法,定子铁芯比损耗Pl值应不大于所用硅钢片的标准比损耗的1.3倍。 即:
a)汽轮发电机。
Λ≤1.3Ps(1.5) (C.5)
式中:
Pa——定子铁芯硅钢片材料在某磁密、50HZ或60HZ时的标准比损耗,W/kgo b)水轮发电机。
(C.3)
(C.4)
P∣W1.3P式 1.0)
(C.6)
DL/T 1768—2017
C.4铁芯磁化试验数据的修正
当试验时的磁通密度不满足1.0T (水轮发电机)或1.4T (汽轮发电机)、试验电源频率不是基准
|
频率时,按以下公式进行试验数据的修正。 对于汽轮发电机: A7]naxl=ATnηaxθX (~^)' ʒ △ 丁I=AnXq)2(力「3 式中: ∆‰ax,——修正后的铁芯最大温升,K; ΔTmax0——实测铁芯最大温升,K! ATl..修正后的铁芯温差,K; Δ⅞——实测铁芯温差,Ko 对于水轮发电机: A/IXl=ATmaXDX(-^尸(号■尸 ATl=Anx(∙^)2(g)∣∙3 |
(C.7) CC.8) (C.9) (C.10) |
DL/T 1768—2017
附录D
(资料性附录)
电磁式定子铁芯检测仪通小电流法
推荐判定标准见表D.E
表D.1推荐判定标准
|
发电机类型 |
测量电流 mA |
|
隐极同步发电机 |
WlOo |
|
水轮发电机 |
≤ιoo |