中华人民共和国国家标准
城市道路工程技术规范
Technical code for urban road engineering
GB 51286-2018
主编部门:中华人民共和国住房和城乡建设部
批准部门:中华人民共和国住房和城乡建设部
施行日期:2 0 1 8 年 9 月 1 日
中华人民共和国住房和城乡建设部公告
第1830号
住房城乡建设部关于发布国家标准《城市道路工程技术规范》的公告
现批准《城市道路工程技术规范》为国家标准,编号为GB 51286-2018,自2018年9月1日起实施。本规范全部条文为强制性条文,必须严格执行。
本规范在住房城乡建设部门户网站(www.mohurd.gov.cn)公开,并由住房城乡建设部标准定额研究所组织中国建筑工业出版社出版发行。
中华人民共和国住房和城乡建设部
2018年2月8日
前言
根据住房和城乡建设部《关于印发<2012年工程建设标准规范制订、修订计划>的通知》 (建标[2012)5号)的要求,编制组经广泛调查研究,认真总结实践经验,参考有关国际标准和国外先进标准,并在广泛征求意见的基础上,编制了本规范。
本规范主要技术内容是:1.总则;2.基本规定;3.道路;4.桥梁;5.隧道;6.交通安全和管理设施。
本规范全部条文为强制性条文,必须严格执行。
本规范由住房和城乡建设部负责管理和解释,由北京市市政工程设计研究总院有限公司负责具体技术内容的解释。执行过程中如有意见或建议,请寄送北京市市政工程设计研究总院有限公司(地址:北京市海淀区西直门北大街32号3号楼(市政总院大厦),邮政编码:100082)
1 总则
1.0.1 为规范城市道路工程建设,统一城市道路基本功能和性能要求,保障道路交通安全,节约资源,保护环境,制定本规范。
1.0.2 本规范适用于新建、扩建和改建的城市道路(包括广场及停车场)的工程建设。
1.0.3 城市道路工程建设应根据社会效益、环境效益与经济效益进行协调统一,应遵循以人为本、资源节约、环境友好的建设原则。
1.0.4 城市道路工程建设除应符合本规范外,尚应符合国家现行有关标准的规定。
2 基本规定
2.0.1 城市道路工程建设应以城市总体规划为指导,以控制性详细规划、城市交通规划为依据,并应与环境保护规划和防灾规划等专项规划相协调。
2.0.2 城市道路应为人员、车辆提供满足预期的通行能力、承载能力、安全控制要求及抗灾减灾能力的道路、桥涵、隧道等构筑物及设施。
2.0.3 城市道路的构筑物及设施应具备人员、车辆通行所需的性能,包括必要的安全性、适宜的舒适性、预期的耐久性、与周边环境的协调性及抵御规定重现期自然灾害的性能。
2.0.4 城市道路工程建设应遵循节水、节地、节材、节省资源及保护环境的原则,应减少对自然环境的改变与影响。
2.0.5 城市道路工程建设应注重前期调查、研究及论证;应进行满足建设过程需求的勘察工作;应为使用阶段提供满足运营维护需求的相关资料及必要设施。
2.0.6 道路工程建设应采用质量合格并满足要求的材料、产品与设备。
2.0.7 城市道路工程建设应坚持安全第一、预防为主的安全生产管理方针;施工应满足安全生产的要求,应建立安全生产管理体系。
2.0.8 城市道路工程建设应进行全过程质量控制;当工程质量验收不满足要求时,不得投入使用。
2.0.9 城市道路工程应根据环境条件进行耐久性设计;道路工程的主要结构及构筑物应明确设计使用年限;当达到设计使用年限或遭遇重大灾害后,应进行技术鉴定,确定满足使用要求后方可继续使用。
2.0.10 道路、桥梁、隧道及其附属设施应明确养护目标并实施养护,应制定突发事件及灾害应急预案;当道路、桥梁、隧道及其附属设施因结构或设施损坏危及人员和车辆安全时,应立即限制交通并进行修复。
2.0.11 城市道路应形成适宜残疾人和老年等行动不便者通行的无障碍人行设施系统。
2.0.12 城市道路工程的建设及运营维护应满足对文物、古树名木、水源地等的保护要求。
3 道路
3.1 一般规定
3.1.1 道路应按其在道路网中的地位、交通功能以及对沿线的服务功能等,分为快速路、主干路、次干路和支路四个等级。规划阶段确定的道路等级,当遇特殊情况需变更时,应进行技术经济论证,并应报相关审批部门批准。
3.1.2 各级道路的设计速度应符合表3.1.2的规定。

3.1.3 道路设计车辆应符合国家车辆生产标准,车辆的外廓尺寸和运行性能应具有代表性。机动车设计车辆及其外廓尺寸应符合表3.1.3的规定。

3.1.4 道路设施应满足行人、非机动车和机动车的通行要求,同时应设置完善的排水、照明和交通设施,并应满足管线布设、绿化、景观的总体布置要求。
3.1.5 道路建筑限界应根据设计车辆确定。道路建筑限界内不得有任何物体侵入。道路建筑限界应符合下列规定:
1 道路建筑限界应为道路上净高线和道路两侧侧向净宽边线组成的空间界线(图3.1.5)。顶角抹角宽度(E)不应大于机动车道或非机动车道的侧向净宽(Wl)。

2 道路最小净高应满足机动车、非机动车和人行的通行要求。最小净高应符合表3.1.5的规定。

3.1.6 道路设计交通量的预测年限:快速路、主干路应为20年;次干路应为15年;支路应为10年~15年。
3.1.7 道路路面结构设计使用年限应根据道路等级及路面类型确定,各种类型路面结构的设计使用年限应符合表3.1.7的规定。

3.1.8 道路应根据现行国家标准《中国地震动参数区划图》GB 18306规定的地震动参数进行抗震设防。
3.1.9 道路应避开泥石流、滑坡、崩塌、地面沉降、塌陷、地震断裂活动带等自然灾害易发区;当不能避开时,必须提出有效的工程措施和严格的管理措施。
3.2 路线
3.2.1 路线设计应贯彻环境保护和土地资源利用的基本国策,降低道路工程对沿线生态环境以及资源的影响。路线设计平面应顺适、纵断面应均衡、横断面应合理,并应适应地形地物和周边环境,满足行车安全、排水通畅等要求。
3.2.2 路线设计应符合城市道路网规划,并应与地形地物、地质水文、地域气候、地下管线、排水、生态环境、自然景观等要求结合,合理确定路线线位和技术指标。
3.2.3 平面设计应处理好直线与平曲线的衔接,合理地设置缓和曲线、超高、加宽等。圆曲线的最小半径应能保证车辆在曲线部分行驶安全、舒适。
3.2.4 平纵面设计应按道路通行条件满足停车视距、会车视距或超车视距的要求。
3.2.5 纵断面设计应根据道路等级与建设条件,综合交通安全、工程建设投资与运营期间的经济效益、节能减排、环保效益等因素,合理确定技术指标。
3.2.6 纵断面设计最大纵坡应满足所在地区各种气候条件下安全行车的要求,采用最大纵坡时应限制最大坡长。纵断面设计应与道路两侧建筑和地块高程合理衔接。
3.2.7 横断面设计应按道路等级、服务功能、交通特性,结合各种控制条件,在规划红线宽度范围内合理布设,并应分别满足机动车道、非机动车道、人行道、分车带、设施带等宽度的规定。
3.2.8 平面和横断面设计应优先布置行人和公共交通设施。
3.3 路基路面
3.3.1 路基路面应根据道路功能、类型和等级,结合沿线地形地质、水文气象及路用材料等条件进行设计,应因地制宜、合理选材、节约资源。应使用节能降耗型路面设计,合理采用路面材料再生利用技术,并应选择技术先进、经济合理、安全可靠、方便施工的路基路面结构。
3.3.2 路基路面应具有足够的强度和稳定性,以及良好的抗变形能力和耐久性。同时,路面面层应满足平整、抗滑、耐磨与低噪声等表面特性的要求。
3.3.3 路基路面排水设计应根据道路排水总体设计的要求,结合沿线水文、气象、地形、地质等自然条件,设置必要的地表排水和地下排水设施,并应形成合理、完整的排水系统。
3.3.4 路基防护应根据道路功能,查明工程地质、水文地质条件,合理选择岩土的物理力学参数,采取相应防护措施,并应与环境景观相协调。
3.3.5 路基支挡结构设计应满足各种设计荷载组合下支挡结构的稳定、坚固和耐久性要求;结构类型选择及设置位置和范围的确定应安全可靠、经济合理、便于施工养护;结构材料应符合耐久、耐腐蚀的要求。
3.3.6 对软土、黄土、膨胀土、红黏土、盐渍土等特殊土地区的路基设计,应查明特殊土的分布范围与地层特征,特殊土的物理、力学和水理特性以及道路沿线的水文与地质条件,应合理确定特殊土地基处理或处治的设计方案,应使其具有良好的抗变形能力和稳定性要求。
3.4 交叉
3.4.1 道路与道路交叉形式应根据道路网规划、相交道路等级、交通流量和流向及有关技术、经济和环境效益的分析合理确定。
3.4.2 道路交叉口设计应安全、有序、畅通,兼顾所有道路使用者的要求,处理好与其他交通方式的衔接,综合考虑交通组织、几何设计、交通管理方式和交通工程设施等要素,并应与周围环境相协调,合理确定用地规模。
3.4.3 当城市快速路与所有等级的道路交叉时,必须设置立体交叉。
3.4.4 道路与轨道交通线路交叉位置应符合规划要求,形式应根据道路和轨道交通线路性质、等级、交通量、地形条件、安全要求以及经济、社会效益等因素确定。
3.4.5 当道路与全封闭运行的城市轨道交通线路交叉时,必须设置立体交叉。
3.4.6 当道路与高速铁路、客运专线、铁路车站、铁路编组站交叉时,必须设置立体交叉;行驶有轨或无轨电车的道路与铁路交叉时,必须设置立体交叉。
3.4.7 道路上跨轨道交通应符合轨道交通建筑限界的规定。
3.4.8 道路与道路的平面交叉口,以及无人看守或未设置自动信号的道路与铁路平交道口的视距三角形范围内,不得有任何妨碍驾驶员视线的障碍物。
3.4.9 平面交叉口应设置行人和非机动车过街设施,并应与交叉口的几何特征、人流量、车流量、交通组织方式等相协调。
3.4.10 立交区域内的非机动车和行人系统应保证其连续性和有效宽度,应与相交道路的非机动车和行人系统相匹配,布置应满足安全、便捷的要求。
3.5 行人和非机动车交通系统
3.5.1 道路应根据使用功能要求,设置相应的行人和非机动车交通设施。行人和非机动车交通系统应安全、连续,应保证行人及非机动车的有效通行宽度。人行道有效通行宽度不应小于1.5m。
3.5.2 城市道路上的行人及非机动车交通系统应与道路沿线的居住区、商业区、城市广场、交通枢纽等内部的相关设施合理衔接,构成完整的交通系统。
3.5.3 对视距受限制、急弯陡坡等危险路段以及车行道宽度渐变路段,严禁设置人行横道。
3.5.4 当穿越车行道的人行横道长度大于16m时,应在分隔带或道路中心线附近的人行横道处设置行人二次过街安全岛。
3.5.5 穿越快速路的行人过街设施必须采用立体交叉的方式。
3.5.6 设计速度大于40km/h的道路,非机动车道与机动车道之间必须设置安全隔离设施。
3.5.7 对长度大于1000m的隧道.严禁将机动车道与非机动车道或人行道在同一孔内设置;对长度小于或等于1000m的隧道,当需设置非机动车道或人行道时,与机动车道之间必须设安全隔离设施。
3.5.8 独立的步行街应满足消防车、救护车、送货车和清扫车的通行要求,且最小宽度不应小于5.0m。
3.5.9 非机动车专用路的设计速度应小于20km/h,并应设置相应的交通安全、排水、照明等设施。
3.6 公共交通设施
3.6.1 道路设计中应根据城市公交发展战略和线网规划要求进行公共交通设施设计,应包括与道路相关的公共交通专用车道和车站的设计。
3.6.2 公交专用车道的设计应与城市道路功能相匹配,应合理使用道路资源。
3.6.3 公交车站应根据公交线网规划,并应结合沿线交通需求及各类交通接驳布局要求设置。
3.7 公共停车场和城市广场
3.7.1 公共停车场和城市广场的位置和规模必须符合城市规划要求,并应根据道路交通组织,合理布局。
3.7.2 停车场及城市广场出入口必须有良好的通视条件,视距三角形范围内不得有任何妨碍驾驶员视线的障碍物,且不得影响临近交叉口的交通运行。
3.7.3 机动车停车场车位布置可按纵向或横向排列分组安排,每组停车不应超过50辆。当各组之间无通道时,必须留出大于或等于4m宽的消防通道。
3.8 施工
3.8.1 道路施工应满足道路结构的强度、稳定性及耐久性要求。
3.8.2 道路施工应进行必要的施工工艺性能检测、工程质量检验及专项验收,并应满足道路防排水要求。
3.8.3 基坑、基槽及道路边坡、挡土墙施工应进行必要的监控量测,合理控制地下水,保障结构安全,同时应保护水环境。
3.8.4 高填土路基与软土路基施工,应进行沉降观测,在沉降稳定后再进行道路基层施工。
4 桥梁
4.1 一般规定
4.1.1 桥梁设计应以安全可靠、适用耐久、技术先进、经济合理、与环境相协调为基本原则,应符合所在区域规划布局的要求。桥梁设计应合理确定各项技术标准和指标,桥梁设计方案应进行全面、多方案的技术经济比较。
4.1.2 跨越河流的桥梁及跨越城市道路、公路、城市轨道交通、铁路的跨线桥梁,桥下净空应分别符合国家现行标准的有关规定。
4.1.3 桥位应与燃气输送管道、输油管道及易燃、易爆和有毒气体等危险品工厂、车间、仓库保持必要的安全距离。桥位距燃气输送管道、输油管道的安全距离应符合国家现行标准的有关规定。当距离较近时,应设置满足消防、防爆要求的防护设施。当桥位上空设有架空高压电线无法避开时,桥梁主体结构最高点与架空电线之间的最小垂直距离应符合国家现行标准的有关规定。当桥位旁有架空高压电线时,桥边缘与架空电线之间的水平距离应符合国家现行标准的有关规定。
4.1.4 当桥上或地道内需铺设市政管线时,应符合国家相关标准及有关法律法规的规定,并应对桥梁、地道及管线发生故障和事故时次生影响的可控性进行评估。
4.1.5 桥位选择应符合城乡规划,满足城市防洪要求。通航河流上桥梁的桥位选择应满足相应航道等级的通航要求及航运条件下桥梁的安全性要求。
4.1.6 桥梁应根据道路的等级和使用要求设置必要的护栏及检修道。
4.1.7 桥梁引道及引桥的设计应满足消防、救护、抢险的要求,并应布设必要的通道。
4.1.8 桥梁和地道应设置完善的防排水系统。
4.1.9 桥梁结构设计应根据现行国家标准《工程结构可靠性设计统一标准》GB 50153的有关规定确定设计使用年限。应根据其所处环境类别和环境条件进行结构耐久性设计,对需更换的构件应明确更换要求,并应预留足够的更换空间。
4.1.10 桥梁设计应满足国家现行标准对环境保护的要求。位于生态环境敏感区和饮用水源保护区的桥梁,应从设计、施工、运营及养护等方面采取全面的保护措施。
4.2 荷载
4.2.1 桥梁设计应根据道路的功能、等级和发展要求等具体情况选用设计汽车荷载。汽车荷载的计算图式、荷载等级及其标准值、加载方法和纵横向折减等应符合下列规定:
1 汽车荷载应分为城-A级和城-B级两个等级。
2 汽车荷载应由车道荷载和车辆荷载组成。车道荷载应由均布荷载和集中荷载组成。桥梁结构的整体计算应采用车道荷载,桥梁结构的局部加载、桥台和挡土墙等的计算应采用车辆荷载。车道荷载与车辆荷载的作用不得叠加。
3 车道荷载的计算(图4.2.1-1)应符合下列规定:

1)城-A级车道荷载的均布荷载标准值(qk)应为10.5kN/m。集中荷载标准值(Pk)的选取:当桥梁计算跨径小于或等于5m时,Pk=270kN;当桥梁计算跨径等于或大于50m时,Pk=360kN;当桥梁计算跨径在5m~50m之间时,Pk值应采用直线内插求得;当计算剪力效应时,集中荷载标准值(Pk)应乘以1.2的系数;
2)城-B级车道荷载的均布荷载标准值(qk)和集中荷载标准值(Pk)应按城-A级车道荷载的75%采用;
3)车道荷载的均布荷载标准值应满布于使结构产生最不利效应的同号影响线上;集中荷载标准值应只作用于相应影响线中一个最大影响线峰值处。
4 车辆荷载的立面、平面布置及标准值应符合下列规定:
1)城-A级车辆荷载的立面、平面、横桥向布置(图4.2.1-2)及标准值应符合表4.2.1-1的规定。



2)城-B级车辆荷载的立面、平面、横桥向布置(图4.2.1-3)及标准值应符合表4.2.1-2的规定。


5 车道荷载横向分布系数、多车道的横向折减系数、大跨径桥梁的纵向折减系数、汽车荷载的冲击力、离心力、制动力及车辆荷载在桥台或挡土墙后填土的破坏棱体上引起的土侧压力等均应按现行行业标准《公路桥涵设计通用规范》JTG D60的规定计算。
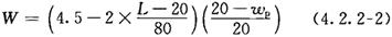
4.2.2 梁、桁架、拱及其他大跨结构的人群荷载(W)应采用下列公式计算,且W值在任何情况下不得小于2.4kPa:
当加载长度L<20m时:
![]()
当加载长度20m≤L≤100m时:
![]()
式中:W——单位面积的人群荷载,(kPa):
L——加载长度,(m);
ωp——单边人行道宽度,(m);在专用非机动车桥上取1/2桥宽,大于4m时仍按4m计。
4.2.3 非机动车道和专用非机动车桥的设计荷载的选取,应充分考虑使用过程中可能发生的荷载工况。
4.2.4 作用在桥梁人行步道栏杆扶手上的竖向荷载应为1.2kN/m,水平向外荷载应为2.5kN/m。两者应分别计算。作用在人行天桥栏杆扶手上的竖向荷载应为1.2kN/m,水平向外荷载应为2.5kN/m,两者应分别计算且不与其他活载叠加。
4.2.5 除可变作用中的设计汽车荷载与人群荷载外,作用与作用效应组合应按现行行业标准《公路桥涵设计通用规范》JTG D60的有关规定执行。
4.3 结构
4.3.1 桥梁结构的承载能力极限状态和正常使用极限状态计算应符合国家现行标准的有关规定,并应同时满足构造和施工工艺的要求。
4.3.2 桥梁应根据桥梁所处位置的重要性、结构破坏可能产生后果的严重性,对重要部位的桥梁或结构提高设计安全等级。
4.3.3 曲线梁桥应具有足够的抗扭刚度,结构支承体系应满足曲线桥梁的受力和变形要求。
4.3.4 位于通航河流或有漂流物的河流中的桥梁墩台及临近车行道、易受汽车撞击的桥墩应进行防撞设计。
4.3.5 桥梁结构应采取可靠的抗倾覆措施,应具有足够的抗倾覆安全度,并应避免局部构件失效引起的整体倒塌。
4.4 抗震
4.4.1 对基本地震动加速度峰值为0.05g及以上地区的城市桥梁,应进行抗震设计,并应采取抗震措施。
4.4.2 桥梁应根据结构形式、在城市路网中位置的重要性以及承担的交通量,进行抗震设防分类。
4.4.3 对技术特别复杂的特大桥梁的地震动参数,应按地震安全性评价确定,其他各类桥梁的地震动参数,应根据国家现行标准的有关规定确定。
4.4.4 工程场地类别,应根据土层等效剪切波速和场地覆盖层厚度划分,并应符合国家现行标准的有关规定。
4.4.5 当桥梁采用减震或隔震方法设计时,减震或隔震支座应具有足够的刚度和屈服强度,相邻上部结构之间应设置足够的间隙。
4.5 施工
4.5.1 桥梁施工应满足施工期间交通组织的要求,应优先采用预制化、机械化等对社会交通影响相对较小的施工方案。
4.5.2 桥梁工程建设应在施工前确定涉及结构安全和使用功能的重点部位、关键工序,应制定满足安全、质量和环保要求的控制指标、控制措施。
4.5.3 桥梁施工所需的工装、设备及设施应满足承载能力、强度、刚度和整体稳定性要求,并应同时满足工艺性能、安全保护及环境保护要求。
4.5.4 模板、支架及深基坑工程在施工全过程中应满足安全性、稳定性及相关技术性能指标的要求,必要时应进行专项评估论证。
4.5.5 桥梁施工应采取保证施工安全、结构安全和环境安全的防护措施。
5 隧道
5.1 一般规定
5.1.1 隧道设计应满足城市总体规划、城市控制性详细规划、城市道路路网规划、土地使用规划以及交通功能等要求,应协调好与地面、地下建筑和构筑物以及各种管线的关系,减少动拆迁,并应协调好与其他市政公用设施、城市轨道交通的关系。
5.1.2 隧道设计应根据勘测和调查资料,综合地形、地质、水文、气象、环境、地震以及施工和营运条件等因素,进行必要的技术、经济、环保等方面的方案比选,应达到安全实用、质量可靠、经济合理和技术先进的要求。
5.1.3 隧道防灾设计应遵循预防为主、防消结合的原则;应根据隧道内交通量、交通特性、防灾设备、自然环境条件、隧道长度和平纵技术标准等因素进行综合设计。
5.1.4 隧道应根据现行国家标准《中国地震动参数区划图》GB 18306规定的地震动参数进行抗震设防。
5.1.5 隧道结构设计应根据现行国家标准《工程结构可靠性设计统一标准》GB 50153的有关规定确定设计使用年限,隧道主体结构应按满足100年正常使用的永久性结构设计。
5.1.6 隧道施工必须制定相应的措施,保证工程质量、施工安全、作业人员身体健康,文明施工。
5.2 总体布置
5.2.1 隧道总体布置及配套运营管理设施的设置,应满足隧道正常运营、管理维护、防灾救援等需要。
5.2.2 当隧道穿越工程地质、水文地质特别复杂以及存在严重不良地质条件的地段时,应采取安全可靠的工程技术措施。
5.2.3 隧道平面线形应根据地形、路线走向、洞口位置、沿线障碍物和施工工法等因素确定。
5.2.4 当隧道出口处设置平面交叉口时应满足洞口行程长度及等待车辆排队长度的要求。
5.2.5 隧道纵坡设计应满足车辆行驶安全的要求。
5.2.6 隧道横断面及内轮廓设计应根据线路技术标准、建筑限界、结构形式、施工工法、设备布置、防灾和运营养护等要求确定。
5.2.7 隧道内严禁布置可燃、易爆管道。
5.2.8 主隧道与车行、人行疏散通道和横通道连通处,应采取防火分隔措施。
5.2.9 当隧道内通行公共电汽车、有轨电车等客运车辆时,应满足火灾工况下客流疏散逃生的要求。
5.3 结构
5.3.1 隧道结构设计应根据工程沿线建设条件、工程地质条件,通过技术经济、功能效果和环境影响的综合评价,选择结构形式和施工方法。主体结构应具有规定的强度、稳定性和耐久性,应适应长期营运的需要。
5.3.2 隧道结构应就其施工过程和正常使用各阶段,进行结构强度和稳定性的计算,必要时还应进行变形和刚度计算。
5.3.3 隧道结构抗震设计应根据设防要求、场地条件、结构类型和埋深等因素,采取必要的构造措施提高结构和接头处整体抗震能力。
5.3.4 隧道结构应根据所处的环境类别和环境条件进行耐久性设计。
5.3.5 隧道应根据环境条件、结构特点、施工方法等因素进行防排水设计。
5.4 设备及设施
5.4.1 隧道通风系统的设置应满足正常工况时通风、火灾工况时防排烟的要求,并应符合国家环保和节能的要求。
5.4.2 隧道应根据火灾危险等级设置自然或机械排烟系统,避难设施内应设置防烟系统。
5.4.3 隧道给水必须满足隧道运营所需的生产、生活和消防用水的要求。
5.4.4 隧道应设置完善的排水系统,排放应符合国家现行相关标准的规定及环保要求。
5.4.5 隧道应根据隧道长度、车种组成及火灾危险性等配置消防灭火设施。消防给水水源必须可靠。
5.4.6 隧道照明设置应满足交通安全和舒适性的要求。
5.4.7 供配电设施应安全、可靠,并应符合节能和环保要求。
5.4.8 隧道综合监控系统应根据正常运营、事故及灾害工况的运营管理要求确定各类设施的配置规模。
5.5 施工
5.5.1 隧道施工应采取必要的安全措施,保护施工人员身体健康和安全。
5.5.2 隧道施工必须建立施工测量和复测系统。
5.5.3 隧道施工应进行地质预测、预报,实施动态管理。
5.5.4 隧道施工应制定施工全过程的监控量测方案及工程应急处理预案。当施工前方地质出现异常变化迹象或接近围岩重要分界线时,应及时探明隧道的工程地质和水文地质情况后方可继续开挖。
6 交通安全和管理设施
6.1 一般规定
6.1.1 城市道路交通安全和管理设施设计应根据道路总体设计和交通组织设计方案进行,设计范围除道路自身外,还应包含对道路有影响的周边范围。
6.1.2 城市道路交通安全和管理设施应与道路土建工程同步设计和实施。
6.2 交通安全设施
6.2.1 交通标志和标线设计应向交通参与者提供交通路权、通行规则及路径指示等信息。
6.2.2 交通标志不得侵入道路建筑限界,也不得被其他物体遮挡。
6.2.3 交通标志版面和标线的信息应能准确和适当地反映交通组织及管理的意图,并应能够在各种环境条件下清晰地识别。隧道内的应急、消防、避险等指示标志,应采用主动发光标志或照明式标志。
6.2.4 交通标志结构设计应符合强度、变形和稳定性要求。
6.2.5 交通标线材料应具备良好的抗滑、耐磨和环保性能,应方便施工。
6.2.6 当快速路中央带及路侧不能提供足够安全距离时,必须设置防撞护栏。快速路及各级道路隧道内主线分流端、匝道出口端部应设置相应的防撞设施。
6.2.7 当桥梁或道路路侧悬空或车辆越出路外可能造成严重交通事故时,应采用防撞护栏或高路缘石等设施进行防护。
6.2.8 主干路应采用防撞护栏、隔离栏、路缘石等设施隔离机动车、非机动车、人行交通。
6.2.9 对人行道与一侧地面存在高差,有行人跌落危险的,应设置人行护栏。
6.2.10 对快速路主路及行人穿越可能发生严重交通事故的其他道路,应设置必要的隔离设施。
6.2.11 当行人通行的桥梁跨越城市轨道交通线、铁路干线、高速公路、一级公路、城市快速路时,人行道外侧应设置防落物网。
6.2.12 防撞设施应根据道路等级、道路设施类型、所处部位和环境进行设置,并应符合相应的防撞等级和技术指标的要求。邻近干线铁路、水库、油库、电站等需特殊防护的路段,应进行论证后采取提高防撞等级或其他措施.确保交通安全。
6.3 交通管理设施
6.3.1 交通信号灯应能被道路使用者清晰、准确地识别,应能保障车辆和行人安全通行。交通信号灯的视认范围内不应存在盲区;当不能满足时,应在适当位置增设同类信号灯。
6.3.2 对中、长、特长隧道及特大桥梁、城市快速路应设置交通监控系统。交通监控系统配置应按道路性质和监控系统特性划分不同等级,使之具备相应的信息采集、分析处理、信息发布和交通控制管理,以及与其他信息系统进行信息交换和资源共享的功能。
本规范用词说明
1 为便于在执行本规范条文时区别对待,对要求严格程度不同的用词说明如下:
1)表示很严格,非这样做不可的:
正面词采用“必须”,反面词采用“严禁”;
2)表示严格,在正常情况下均应这样做的:
正面词采用“应”,反面词采用“不应”或“不得”。
2 条文中指明应按其他有关标准执行的写法为:“应符合……的规定”或“应按……执行”。
引用标准名录
1 《工程结构可靠性设计统一标准》GB 50153
2 《中国地震动参数区划图》GB 18306
3 《公路桥涵设计通用规范》JTG D60
中华人民共和国国家标准
城市道路工程技术规范
GB 51286-2018
条文说明
编制说明
《城市道路工程技术规范》GB 51286-2018经住房和城乡建设部2018年2月8日以第1830号公告批准、发布。
本规范为全文强制性国家标准,以功能性能为目标,以现行强制性条文为基础,是参与工程建设活动的各方主体必须遵守的准则。城市道路系统及其设施是城市重要的基础设施,本规范的编制原则为以人为本、资源节约、环境友好,强调城市道路工程建设应考虑社会效益、环境效益与经济效益的协调统一,是城市道路工程建设、运行和维护的基本要求。
为了便于广大设计、施工、监理、科研、学校等单位有关人员在使用本规范时能正确理解和执行条文规定,《城市道路工程技术规范》编制组按章、节、条顺序编制了本规范的条文说明,对条文规定的目的、依据,以及执行中需注意的有关事项进行了说明。但是本条文说明不具备与规范正文同等的法律效力,仅供使用者作为理解和把握规范规定的参考。
1 总则
1.0.1 本条阐述了制定本规范的目的。城市道路工程是指以城市道路为对象而进行的规划、勘察、设计、施工、养护与管理等技术活动的全过程,其工程实体包括了道路、桥梁、隧道、涵洞、交通设施及相关(如排水、照明、消防、监控等)配套设施。城市道路是保障居民生活和社会经济发展的生命线,是保障公众出行需求和交通安全的重要基础设施,城市道路建设过程也与市民生活密切相关,本规范所规定的,是城市道路在勘察、设计、施工、养护与管理等技术活动中的基本要求,也是城市道路工程建设必须执行的。
1.0.2 规定了本规范的适用范围,适用范围定在了城市各等级道路、广场及停车场,包括新建道路工程和改扩建的道路工程。
1.0.3 本条规定了城市道路工程建设的共性要求及应遵循的基本原则,强调了城市道路工程建设在社会效益、环境效益与经济效益方面综合协调的要求;技术标准的设定既要考虑满足功能、性能要求,又应本着节俭节约的原则;强调了以人为本的设计理念。
2 基本规定
2.0.1 本条规定了城市道路工程建设与城市规划的关系。2008年1月1日起施行的《中华人民共和国城乡规划法》第十七条规定:“城市总体规划、镇总体规划的内容应当包括:城市、镇的发展布局,功能分区,用地布局,综合交通体系,禁止、限制和适宜建设的地域范围,各类专项规划等。规划区范围、规划区内建设用地规模、基础设施和公共服务设施用地、水源地和水系、基本农田和绿化用地、环境保护、自然与历史文化遗产保护以及防灾减灾等内容,应当作为城市总体规划、镇总体规划的强制性内容。”第十九条规定:“城市人民政府城乡规划主管部门根据城市总体规划的要求,组织编制城市的控制性详细规划,经本级人民政府批准后,报本级人民代表大会常务委员会和上一级人民政府备案。”第三十七条规定:“在城市、镇规划区内以划拨方式提供国有土地使用权的建设项目,经有关部门批准、核准、备案后,建设单位应当向城市、县人民政府城乡规划主管部门提出建设用地规划许可申请,由城市、县人民政府城乡规划主管部门依据控制性详细规划核定建设用地的位置、面积、允许建设的范围,核发建设用地规划许可证。”因此,城市道路的建设必须是在城市总体规划框架下,以控制性详细规划、城市交通规划为依据进行,同时,为实现城市总体规划,还应与其他相关专项规划相协调。
2.0.2 本条规定了城市道路的功能要求,是城市道路满足市民交通出行的基本要求,包括提供人和车辆的基本通行能力的要求、构筑物的荷载要求、交通秩序的组织、道路的安全设施等,此外,城市道路在地震、洪水、台风等自然灾害状况下,还应为抗灾救灾提供条件,因此要求有在预期的灾害条件下保证通行的能力。
2.0.3 本条规定了城市道路的性能要求,包括安全性、舒适性、耐久性以及抵御规定重现期的灾害的能力。考虑到道路建设的安全性、适用性、经济性原则,以及全国城市经济情况不尽相同,本条在规定各种性能时予以了程度上的限定,在道路工程各项通用、专用标准技术指标制定时,再给出一定的选择范围,以达到适用的道路性能。
2.0.4 本条规定了在城市道路建设过程中对环境保护和资源节约的要求。资源节约包括了尽可能节省工程中建筑材料的用量,减少循环利用率低及循环利用排放较高的材料的使用,在建设过程中减少对自然环境的影响也是对环境最好的保护。
2.0.5 本条规定了城市道路工程建设过程中对于基础资料收集、项目论证及为运营维护阶段提供相关资料的要求。城市道路虽然是在规划条件下进行建设,但在建设阶段仍应对其功能定位、交通量、沿线设施、区域自然特性、建设条件、环境敏感区等进行充分的资料收集及现场调查,必要时还需进行专项的研究和论证。
在城市道路工程建设的前期(如可行性研究、初步设计及施工图阶段)需要对工程所涉及的区域进行相关的工程测量、地质勘察、水文勘察、管线调查勘测及沿线设施(如铁路、航运、电力等)的详细调查及勘察,以满足设计、施工和运营过程的基础资料需求,必要时在施工过程还需进行补充勘察,以此来保证工程的最终质量。
道路工程建设应当为使用阶段提供必要的资料与设施,如建设阶段的研究论证资料、施工图及变更设计、验收及竣工资料,等等,在标准体系的通用和专用标准中具体予以规定;条文中的“设施”指为了满足运营养护需求而随工程一并实施的设施,如大跨度斜拉桥、悬索桥所附带的专用检修车,为高边坡检修所设的检修道,特殊高墩所附的爬梯等等,但对于大多数桥梁、隧道和构筑物,采用多功能检修车、道路检测车等.是更经济合理的方式,因此,此处规定的是“必要设施”。
2.0.6 道路工程建设质量是根本,为保证道路工程使用安全、达到设计使用寿命,需要通过设计、施工阶段的质量保证来实现,本条规定是要求在建设过程中必须采用满足工程要求、质量合格的材料、产品与设备。
2.0.7 本条依据《建设工程安全生产管理条例》规定了建设过程中安全生产的基本原则要求,强调了施工现场的安全管理。
2.0.8 工程质量验收是道路工程建设完成投入使用的最后检验环节,工程质量验收如不满足要求.表明未实现设计要求或存在质量缺陷,若投入使用势必带来安全风险,也为整改带来困难。
2.0.9 环境条件对道路工程的耐久性具有重要影响,因此,城市道路工程建设应对环境影响进行评估,当所处的环境对结构或构件影响较大时,应根据不同的环境类别采用适宜的材料、设计构造、防护措施和施工质量要求。
正常设计、正常施工、正常使用、正常维护是保证工程设计使用年限、保证结构具有规定的可靠性的基本要求。
道路工程的结构及构筑物达到了设计使用年限或遭遇了重大灾害(如地震、洪水、台风等),应对其进行技术鉴定,评估确定是否满足继续使用的条件,是否需要进行加固改造或制定继续使用的安全保证措施,鉴定的目的是保障道路系统的安全性。
2.0.10 保障城市道路工程正常运行并达到预期的使用寿命,对其进行养护维修是重要的环节。本条规定了相应的养护要求,并对可能危及人员安全的设施损伤提出了限制通行的要求。
2.0.11 城市新建、改扩建道路、公共交通设施应当符合《无障碍环境建设条例》的要求,其中第十三条规定:“城市的主要道路、主要商业区和大型居住区的人行天桥和人行地下通道,应当按照无障碍设施工程建设标准配备无障碍设施,人行道交通信号设施应当逐步完善无障碍服务功能,适应残疾人等社会成员通行的需要”。本条强调无障碍设施的系统性,避免设施不连续达不到设施设置目的。
2.0.12 本条规定对道路工程建设中涉及文物保护、古树名木保护和水源地等的保护提出了明确的要求。
文物是不可再生的文化资源,2015年4月24日发布的《中华人民共和国文物保护法》规定了我国境内受国家保护的文物种类,并作出“基本建设、旅游发展必须遵守文物保护工作的方针,其活动不得对文物造成损害”的规定。
2000年9月1日中华人民共和国建设部发布的《城市古树名木保护管理办法》,规定了受保护的古树名木的范围及保护要求,规定“新建、改建、扩建的建设工程影响古树名木生长的,建设单位必须提出避让和保护措施。城市规划行政部门在办理有关手续时,要征得城市园林绿化行政部门的同意,并报城市人民政府批准”。
水源地是市民赖以生存的资源,建设过程中要依法依规对水源地进行保护。
3 道路
3.1 一般规定
3.1.1 规定了道路分级的原则.以及对道路等级的执行要求。道路等级是道路设计的先决条件,是确定道路功能、选择设计速度的基本条件。每条道路在路网中承担的作用应由整个路网决定。因此,道路等级一般在规划阶段确定。在设计阶段,需要对规划道路等级提高或降低时,均需经规划或相关主管部门审批后方可变更。
3.1.2 规定了各级道路可采用的设计速度。设计速度是道路设计时确定几何线形的基本要素。它是在气候条件良好,车辆行驶只受道路本身条件影响时,具有中等驾驶技术水平的人员能够安全、舒适驾驶车辆的速度。设计速度一经选定,道路设计的所有相关要素如平曲线半径、视距、超高、纵坡、竖曲线半径等指标均与其配合以获得均衡设计。因此,为了保证城市道路上各种交通方式的行车安全和通行能力的要求,本条根据城市道路的交通特点,规定了各级城市道路设计速度的可选择范围。
3.1.3 规定了道路设计车辆的确定原则。控制道路几何设计的关键因素是行驶车辆的物理性能和各种车辆的组成比例。研究各种类型的车辆,建立类型分级,并选择具有代表性的车辆用于设计。这些用于控制道路几何设计,符合国家车辆标准的,具有代表性质量、外廓尺寸和运行性能的车辆,称之为设计车辆。《机动车类型术语和定义》GA 802-2014中对车辆类型进行了分类,《汽车、挂车及汽车列车外廓尺寸、轴荷及质量限值》GB 1589-2016规定了车辆外廓尺寸的最大限值。目前按国家车辆标准生产出来的车辆类型较多,因此,设计中只能依据道路交通功能、主要服务对象和车种组成来确定几类作为设计车辆。
3.1.4 规定了道路的功能、服务对象和作用。1996年6月4日发布的《城市道路管理条例》第一章第二条中规定:“城市道路是指城市供车辆、行人通行的,具备一定技术条件的道路、桥梁及其附属设施”。同时,在第二章第十二条中规定:“城市供水、排水、燃气、热力、供电、通信、消防等依附于城市道路的各种管线、杆线等设施的建设计划,应当与城市道路发展规划和年度建设计划相协调,坚持先地下、后地上的施工原则,与城市道路同步建设”。目前在城市道路设计中强调道路总体空间的功能,因此,道路不仅仅是交通的通道、管线的走廊,同时也是城市风貌和景观的体现。必须满足交通设施、管线布设、排水、照明、绿化、景观的总体布置要求。
3.1.5 规定了如何确定道路建筑限界,以及道路建筑限界的使用和建设要求。明确道路建筑限界是为保证车辆和行人正常通行,规定在道路建筑限界内不允许有任何设施及障碍物侵入。在道路最小净高的规定中,从规范拟定的设计车辆来看,车辆总高从1.6m~4m,相差2.4m,跨度较大。城市中车辆总高在3m以下的车辆大约占50%,且北京、上海等城市已达到90%以上。随着城市规模的扩大,在交通管理上,实行了区域化管理,部分区域限定了大型车的行驶范围。因此,在这些城市中,已出现了限高2.5m、3m、3.2m、3.5m等工程实例。设计车辆最小净高标准应根据设计车辆总高加上0.5m竖向安全行驶距离确定,不包括以后加铺、积雪等因素的影响。但小客车的最小净高标准除了考虑设计车辆的车高要求外,同时还考虑了驾驶员的视觉感受,以及结合城市消防和应急车辆特殊通行的要求。结合实际需求,按确定的设计车辆,分车型提出了3.5m、4.5m两个标准。同时提出了除了满足设计车辆的通行外,有特殊要求的道路,如考虑有特殊车辆通行、道路的加铺改造、冬季积雪等要求时,应预留一定的高度,以及如果有设计车辆不能包括的特殊车辆通行,最小净高应根据实际通行的车辆要求确定。
本条图3.1.5“道路建筑限界”中,相关符号注释如下:
Hc——机动车车行道最小净高;
Hb——非机动车车行道最小净高;
Hp——人行道最小净高;
E——建筑限界顶角宽度;
Wr一—红线宽度;
Wc——机动车道或机非混行车道的车行道宽度;
Wb——非机动车道的车行道宽度;
Wpc——机动车道或机非混行车道的路面宽度;
Wpb——非机动车道的路面宽度;
Wmc——机动车道路缘带宽度;
Wmb——非机动车道路缘带宽度;
Wl——侧向净宽;
Wsc——安全带宽度;
Wdm——中间分隔带宽度;
Wsm——中间分车带宽度;
Wdb——两侧分隔带宽度;
Wsb——两侧分车带宽度;
Wa——路侧带宽度;
Wp——人行道宽度;
Wg——绿化带宽度;
Wf——设施带宽度;
3.1.6、3.1.7 规定了确定道路设计年限的原则和要求。设计年限包括确定路面宽度而采用的计算交通量增长年限与为确定路面结构而采用的计算累计标准当量轴次的基准年限两种。
1 在确定道路横断面车行道宽度时,应将远期交通量的年限作为道路设计年限的指标。在设计年限内,车行道的宽度应满足道路交通增长的要求,保证车辆能安全、舒适、通畅地行驶。
2 路面结构的设计使用年限是路面结构在正常设计、正常施工、正常使用、正常维护下的预期目标使用年限。不同路面类型选用不同的设计使用年限,以保证在设计使用年限内路面平整并具有足够强度。设计使用年限应与路面等级、面层类型及交通量相适应。
3.1.8 规定了道路抗震设计的要求。我国地域较为广阔、地质条件差异也较大,道路设计应按现行国家标准《中国地震动参数区划图》GB 18306执行,以地震动峰值加速度和特征周期来表征地震动的主要特性。
3.1.9 规定了路线走向与地质灾害的关系和具体要求。
3.2 路线
3.2.1 规定了路线选线的基本原则。加强环境保护和合理利用土地资源是重要的国策,道路路线设计应减少道路建设对周围环境的影响,妥善处理人、车、路、环境之间的关系,使社会、环境与经济效益协调统一。
同时规定了路线平、纵、横线形设计的要求。道路是由平面、纵断面、横断面组成的工程实体,三者之间有着密切的内在联系,任何一项都不应是单独的设计,而应是相互影响、相互补充,应根据设计速度、交通组成,结合地形条件,合理运用技术指标,对路线的平纵横三个方面进行综合设计。平纵线形组合是指在满足汽车运动学和力学要求的前提下,研究如何满足视觉和心理方面的连续性、舒适感,研究与周围环境的协调和良好的排水条件。所以,线形设计不仅要符合技术指标要求,还应结合地形、景观、视觉、安全、经济性等进行协调和组合,使道路线形设计更加合理。
3.2.2 规定了路线设计的基本要求。路线设计是道路设计的核心,应遵照统筹规划、合理布局、近远期结合、综合利用的原则进行总体设计;并应综合协调各种关联工程的关系,按照兼顾发展和适度超前的原则,妥善处理已建工程和新建工程的布局,合理确定路线方案。
城市道路的平面定线受到城市道路网布局、地区控制性详细规划、道路规划红线宽度和沿街已有建筑物等因素的约束,平面线形只能局限在一定范围内调整,定线的自由度要比公路小得多。因此,城市道路网规划对道路定线的指导应充分考虑。
城市道路线形还受用地开发、征地拆迁、社会环境、景观、美学、文物保护、社区、公众参与等因素的影响,对于文物、名木古树要考虑保留,特别是改建道路,应考虑各方面的综合要求。道路线形对交通安全、行驶顺适具有重要作用。不适当的线形将会造成事故,并增加养护及运行费用。因此设计时,应根据地形、地质、地物及各控制条件,按照道路等级和设计速度,采用适当的线形技术指标,进行组合设计和优化设计。避免相邻线形指标变化过大,正确处理好线形的连续与均衡性。
3.2.3 规定了路线平面线形设计的要求。道路平面线形由直线和平曲线组成。直线的几何形态灵活性差,有僵硬不协调的缺点,并很难适应地形的变化。直线段太长,驾驶员会感到厌倦,注意力不易集中,成为交通肇事的起因。平曲线间的直线长度亦不宜过短,以免造成驾驶员操纵方向盘困难,不利于行车安全。
平曲线由圆曲线和缓和曲线组成,为使汽车能安全、顺适地由直线段进入曲线,要合理选用圆曲线半径,并根据半径大小设置超高和加宽。同时车辆从直线段驶入平曲线或由平曲线驶入直线段,为了缓和行车方向和离心力的突变,确保行车的舒适和安全,在直线和圆曲线间或半径相差悬殊的圆曲线之间需设置符合车辆转向行驶轨迹和离心力渐变的缓和曲线。
因此,在平面线形设计中,不仅要合理选用各种线形指标,更重要的是还要处理好各种线形间的衔接,以保证车辆安全、舒适的行驶。设计人员应根据地形、地物、环境、安全、景观,合理运用直线、圆曲线、缓和曲线。
3.2.4 规定了路线平纵指标选择应满足视距的要求。为了保证行车安全,应使驾驶员能看到前方一定距离的道路路面,以便及时发现路面上有障碍物或对向来车,使汽车在一定的车速下能及时制动或避让,从而避免事故。驾驶人从发现障碍物开始到决定采取某种措施的这段时间段内汽车沿路面所行驶的最短行车距离,称为视距。视距有停车视距、会车视距、错车视距和超车视距等。在城市道路设计中,主要考虑停车视距。
视距是道路设计的主要技术指标之一,在道路的平面上和纵断面上都应保证必要的视距。如平面上挖方路段的弯道和内侧有障碍物的弯道,以及在纵断面上的凸形竖曲线顶部、立交桥下凹形竖曲线底部处,均存在视距不足的问题,设计时应加以验算。
3.2.5 规定了路线纵断面设计的要求。城市道路的纵断面设计受道路网规划控制高程、道路净空、沿街建筑高程、地下管线布置、沿线地面排水等因素的控制,应综合考虑各控制条件,兼顾汽车运营经济效益等因素影响,山地城市道路还需考虑土石方平衡、合理确定路面设计高程。
3.2.6 规定了道路最大纵坡的要求。为保证车辆能以适当的车速在道路上安全行驶,即上坡时顺利,下坡时不致发生危险的纵坡最大限制值为最大纵坡。道路最大纵坡的大小直接影响行车速度和安全、道路的行车使用质量、运输成本以及道路建设投资等问题,它与车辆的行驶性能有密切关系。设计最大纵坡应考虑各种机动车辆的动力性能、道路等级、设计速度、地形条件等。
在建成区道路的纵断面设计中,应考虑与沿线的建筑、地块高程的协调,以免造成道路积水。
3.2.7 规定了横断面设计的原则。横断面设计应在了解规划意图、红线宽度、道路性质后,首先调查收集交通量(车流量与人流量)、流向、车辆组成种类、行车速度等,推算道路设计通行能力。同时根据交通性质、交通发展要求与地形条件,并考虑地上、地下管线的敷设、沿街绿化布置等要求,以及结合市内的通风、日照、城市用地条件等,综合研究分析确定横断面形式与各组成部分尺寸,在规划部门确定的道路红线宽度范围内进行,并考虑节约用地。
3.2.8 规定了在平面和横断面设计时应优先满足公共交通设置的要求。
3.3 路基路面
3.3.1、3.3.2 规定了路基路面的设计原则和技术要求。路基路面性能不仅取决于其结构和材料,而且与路基相对高度、压实状况、排水设施及自然因素密切相关。路基路面结构方案的设计应做好前期调查、分析工作,结合沿线地形、地质、材料等自然条件,因地制宜、合理选材,保证路基路面具有足够的强度、稳定性和耐久性。同时保证路面具有平整、抗滑等特性。
3.3.3 规定了路基路面排水的要求。路基路面排水是整个道路排水系统的一个重要部分,不仅应满足道路排水总体设计的要求和标准,而且应形成合理、完整的排水系统,及时排除路表降水和路面结构层的内部积水,疏干路基和边坡,以确保路基路面的长期性能。
3.3.4 规定了路基防护工程设计的基本原则。路基防护工程是防止路基病害、保证路基稳定的重要措施。规定中强调了应根据道路功能,结合当地气候、水文、地质等情况,采取相应的防护措施,保证路基稳定。
深挖、高填路基边坡路段,往往存在着稳定性隐患,因此强调必须查明工程地质情况,根据地质勘察成果进行稳定性分析,针对其工程特性进行路基防护设计,保证边坡稳定。
3.3.5 规定了路基防护工程设计的技术要求。
3.3.6 规定了特殊土路基的设计原则。软土、黄土、膨胀土、红黏土、盐渍土等特殊土路基,其稳定、变形及可能产生的工程问题与特殊土的地层特征、物理、力学和水理特性,以及道路沿线工程地质、水文地质条件有关。因此,条文强调特殊土路基设计应充分重视岩土工程勘察与分析,应有针对性地进行方案设计。
3.4 交叉
3.4.1 规定了交叉口的选型原则。道路交叉口交叉形式在规划阶段基本确定,设计时应根据相交道路类型、功能要求、交通流量和流向及相关控制条件等,具体选定合适的交叉类型,并对总体布局予以优化。
3.4.2 规定了交叉口的设计原则。交叉口的交通组织通过总体布局来组织分配各交通流的通行路径,通过交通管理措施来组织分配各交通流的通行次序,要综合考虑机动车、非机动车、行人及行动不便者的交通不同需求以及各种公共交通转换的便捷。
3.4.3 规定了城市快速路与所有等级道路立体交叉的设置条件。道路交叉口的类型选择直接影响设计的技术标准、规模、工程造价和占用土地。以往交叉口修建使用中出现少数因规模、标准欠妥而致占地、投资过大,或难以适应规划年限内交通需求增长等问题。为保证城市快速路交通流连续通行,其与所有等级道路交叉时,不能采用平面交叉的形式,必须采用立体交叉。
3.4.4 规定了道路与轨道交通线路交叉方式的选型原则。道路与轨道交通线路交叉位置应符合规划,交叉形式应根据道路和轨道交通线路性质、等级、交通量、地形条件、安全要求以及经济、社会效益等因素确定。轨道交通包含铁路和城市轨道交通,由于其运行要求不同,因此在与道路的交叉形式选择上应分类规定。
3.4.5 规定了道路与城市轨道交通设置立体交叉的条件。目前城市轨道交通发展迅速,种类较多,现行行业标准《城市公共交通分类标准》CJJ/T 114中,将城市轨道交通大类分为地铁、轻轨、单轨、有轨电车、磁浮、自动导向轨道和市域快速轨道等七大系统。因城市轨道交通行车时间短、车流密集,为了保证轨道与道路的通行安全,要求城市各级道路与全封闭运行的城市轨道交通线路交叉时,必须设置立体交叉。
3.4.6 规定了道路与铁路设置立体交叉的条件。各级道路与高速铁路、客运专线、铁路车站、铁路编组场交叉时,以及行驶有轨或无轨电车的道路与铁路交叉时,必须设置立体交叉。根据《中华人民共和国铁路法》的有关规定,考虑铁路运量逐年增加,行车速度逐年提高的特点,为减少平交道口人身事故发生,确保行车安全,规定道路除与前面规定的铁路设施交叉必须采用立体交叉外,在与其他等级铁路交叉时,也应当优先考虑立交。
3.4.7 道路上跨铁路时,铁路的建筑限界除应符合现行国家标准《标准轨距铁路建筑限界》GB 146.2的规定外,还应考虑所跨不同类别铁路的具体要求,如有双层集装箱运输要求的铁路,应满足双层集装箱运输限界的要求;近些年来修建的较高时速客货共线铁路和高速客运专线等对基本建筑限界高度也有不同要求。道路上跨城市轨道交通时,城市轨道交通建筑限界需根据采用的车辆类型及其设备限界、设备安装尺寸、安全间隙和有无人行通道、有无隔声屏障、供电制式及接触网柱结构设计尺寸等计算确定,现行国家标准《城市轨道交通技术规范》GB 50490中有相应规定。
3.4.8 规定了平面交叉口范围内保证行车安全的设计要求。汽车驶近平面交叉口时,驾驶员应能看清整个交叉道路上车辆的行驶情况,以便能顺利地驶过交叉口或及时停车,避免发生交通事故。这段距离必须大于或等于停车视距。视距三角区应以最不利情况绘制,在三角形范围内,不准有任何妨碍视线的障碍物。
3.4.9 规定了平面交叉口行人和非机动车设施的设置要求。交叉口范围占地相对较大,在建设条件受限的情况下,常常减少或不设置行人和非机动车过街设施,造成系统不连续或宽度不足,因此,本次对行人和非机动车过街设施的设置进行了明确规定。
3.4.10 规定了立交区域行人和非机动车设施的设置要求。立交区域内的行人和非机动车交通系统是立交交通功能正常发挥的重要组成部分,然而目前立交建设更多考虑的是机动车交通系统,主要解决的也是机动车交通问题,而对于最基本的交通方式——行人和非机动车交通,考虑得相对较少,造成行人和非机动车交通环境恶化,因此,为了将行人和非机动车交通系统设计提高到一个较高的层面,条文强调了行人和非机动车交通系统的连续性和完整性,要求应提供明确的路权,保障必需的通行空间,此外,应同时考虑无障碍设施、附属设施、景观及环境设施,为行人和非机动车创造安全、良好、舒适的环境。
3.5 行人和非机动车交通系统
3.5.1、3.5.2 行人和非机动车交通系统是城市交通的重要组成部分,然而目前无论从规划、建设还是管理上看,考虑较多的是机动车交通系统,“人车混行”较为普遍,行人和非机动车路权被侵害,交通事故时有发生,行人和非机动车安全没有保障,等等。规定强调了行人和非机动车交通系统的连续性和完整性,要求设计中应提供明确的独立路权,保障必需的通行空间,此外,应同时考虑无障碍设施、附属设施、景观及环境设施,为行人和非机动车创造安全、良好、舒适的环境。在目前的建设中,经常将路侧带中连续绿化带或树池的宽度也作为人行道宽度考虑,这并不能保证行人的通行要求,因此,在本规范第3.5.1条中,还规定了行人通行的最小有效宽度。
3.5.3 规定了人行横道的设置必须满足行人安全通行的要求。在视距受限制、急弯陡坡等危险路段,经常是行车事故多发地段,在这些地方如果设置人行横道,会降低行人过街的安全性。因此,人行横道的设置应综合考虑道路行车的安全条件,避免在事故多发路段设置人行横道。
3.5.4 在一些大城市中,由于道路较宽,一个信号周期内,行人有时不能一次穿越道路,为了提高行人过街的安全性,需要在人行横道中设置停留的区域。因此,规定当行人穿越机动车道的长度大于16m时,需设置二次过街设施,同时规定了具体的设置要求。这样既能保证行人过街安全,又有利于信号控制方案优化,提高交叉口通行能力。
3.5.5 快速路是连续通行的交通流,为了保证行驶的安全,人行过街与其必须采用立体交叉的方式。根据快速路的纵断面布置方式,行人可以采用人行天桥或人行地道过街的方式。
3.5.6 非机动车的骑行速度一般为15km/h~20km/h,当机动车与非机动车同路幅布置时,如果两者的速度差大于20km/h,发生事故的概率会增加,而且事故的严重性也会增高。因此,两者速度差较大时,应对各自的路权采用设施分隔。
3.5.7 长度大于1000m,行驶机动车的隧道,考虑汽车尾气的污染对通风的要求比较高,目前技术条件下,行人和非机动车在隧道中通行存在较大的安全隐患,因此禁止与机动车在同一孔内设置非机动车和行人通道;长度小于等于1000m的隧道,若要求设置非机动车和行人通道时,必须在机动车与非机动车和行人之间设置安全隔离设施,保证各自的安全。
3.5.8 步行街最小宽度的规定是为了满足日常维护以及应急车辆通行的要求。
3.5.9 近几年在绿色出行理念的倡导下,非机动车专用路的建设在许多城市得到了大力推广,为了保证非机动车专用路行驶的安全,要求其设计速度应小于20km/h,同时为了保证其功能的有效发挥,也需设置相应的交通安全、排水、照明等设施。
3.6 公共交通设施
3.6.1~3.6.3 伴随着区域化、城市化和机动化的快速发展,我国各大、中城市交通出行需求迅速增长,道路交通面临巨大压力,为实现发展城市公共交通的战略目标,有效引导城市交通结构向公共交通转化,在城市道路规划设计中,必须考虑与道路相关的公共交通通道和场站设计。
3.7 公共停车场和城市广场
3.7.1 规定了公共停车场和城市广场选址和规模确定的原则要求。
3.7.2、3.7.3 规定了广场和停车场安全通行和应急疏散的技术要求。
3.8 施工
3.8.1 道路强度、稳定性及耐久性要求,是保证道路具有足够的承载能力、抗变形能力,使道路不出现各种病害和塌陷,并达到预期使用寿命的基本要求,这个基本要求应贯穿道路工程施工的全过程,如原材料的检验和试验、路用材料的配合比设计、施工过程的控制和检验及开放交通等各环节。
3.8.2 近几年道路建设和使用过程中塌陷现象较多,其中主要原因是施工过程疏于控制,没有按照规定程序和检验标准进行检验和验收,因此本条对易引发安全和质量事故的关键环节予以强调以引起重视,加强规范管理。
3.8.3 基坑、基槽及道路边坡、挡土墙施工,是易出现重大安全隐患的工序,监控量测是结构安全的重要保证,应根据地势、环境状况、基坑深度及施工现场土壤种类等因素确定施工技术措施和监控量测方法;对地下水的控制是安全施工的重要保证,但同时要遵循节约资源保护环境的原则。
3.8.4 为保证道路结构安全,避免施工过程中地基承载力处于极限状态,稳定和沉降是高填土路基和软基施工控制的关键因素,应加强施工期间的动态观测,保证施工期间的安全和稳定并使工后沉降控制在设计允许范围内。
4 桥梁
4.1 一般规定
4.1.1 城市桥梁设计应符合城乡规划的要求。安全可靠、适用耐久是设计的目的和功能需求,技术先进要求城市桥梁设计积极采用新技术、新材料、新工艺、新结构,大型城市桥梁、高架道路桥梁、立交桥梁的设计应注意工程总体的经济合理,除桥梁主体结构的造价外,还应综合考虑桥梁附属设施、征地拆迁、施工工艺、建设周期、维修养护等诸多影响工程总投资的因素。城市桥梁建设主要是解决交通功能的需求,但大多数情况下城市大型桥梁还将成为城市中比较突出的景观建筑,设计中应对其与周围环境的协调、总体布局的舒展、造型的美观予以足够重视。
节约资源,保护环境,提高防灾减灾能力,构建资源节约型、环境友好型社会是我国的基本国策。城市桥梁是一项重要的城市基础设施,城市桥梁建设应在安全、适用的前提下,遵循有利于节约资源、保护环境、防洪抢险、抗震救灾的原则,控制工程建设规模、工程用地、材料用量及工程投资,桥梁设计方案应通过全面、多方案的技术经济比较,选用经济合理、与环境协调的总体布局和结构造型。
4.1.2 桥梁的桥下净空应符合下列规定:
1 通航河流的桥下净空应按批准的城乡规划的航道等级确定。通航海轮桥梁的通航水位和桥下净空应符合现行行业标准《通航海轮桥梁通航标准》JTJ 311的规定。通航内河轮船桥梁的通航水位和桥下净空应符合现行国家标准《内河通航标准》GB 50139的规定,并应充分考虑河床演变和不同通航水位航迹线的变化。
2 不通航河流的桥下净空应根据计算水位或最高流冰面加安全高度确定。
3 跨越道路或公路的城市跨线桥梁,桥下净空应分别符合现行行业标准《城市道路工程设计规范》CJJ 37、《公路工程技术标准》JTG B01的建筑限界规定。
4 跨越城市轨道交通或铁路的桥梁,桥下净空应分别符合现行国家标准《地铁设计规范》GB 50157和《标准轨距铁路建筑限界》GB 146.2的规定。
4.1.3 桥位附近存在燃气输送管道、输油管道及易爆和有毒气体等危险品工厂、车间、仓库,会对桥梁正常运营存在安全隐患,桥位应与其保持一定安全距离。当距离较近时,应设置满足消防、防爆要求的防护设施。桥位距燃气输送管道、输油管道的安全距离应按国家现行标准《公路桥涵设计通用规范》JTG D60、《输油管道工程设计规范》GB 50253等规范的规定执行。
桥位上空若有架空高压送电线路通过或桥位旁有架空高压电线时,对桥梁的正常运营存在安全隐患,尤其在大风天、雷雨天,或极端低温时,更为严重。因此桥梁不宜在架空送电线路下穿越。当无法避开时,桥梁主体结构最高点与架空电线之间的最小垂直距离,应符合国家现行标准《城市电力规划规范》GB/T 50293和《110~500kV架空送电线路设计技术规程》DL/T 5092的规定。当桥位旁有架空高压电线时,桥梁边缘与架空电线之间的水平距离应参照国家现行标准《66kV及以下架空电力线路设计规范》GB 50061、《110~500kV架空送电线路设计技术规程》DL/T 5092及《公路桥涵设计通用规范》JTG D60等相关标准的规定。
4.1.4 在桥上或地下通道内敷设市政管线时应符合国家相关法规的规定,并对桥梁、地道及管线发生故障和事故时次生影响的可控性进行评估,保障桥梁或地下通道结构的运营安全,避免发生危及结构、车辆、行人安全的重大燃爆事故。
国务院颁发的《城市道路管理条例》(1996年第198号令)第四章第二十七条规定:城市道路范围内禁止“在桥梁上架设压力在4公斤/平方厘米(0.4兆帕)以上的煤气管道、10千伏以上的高压电力线和其他易燃易爆管线”。对于按此条规定允许在桥上通过的压力不大于0.4MPa燃气管道和电压在10kV以内的高压电力线,其安全防护措施应分别满足现行国家标准《城镇燃气设计规范》GB 50028、《电力工程电缆设计规范》GB 50217的规定要求。
4.1.5 通航河流上桥梁的桥位选择应符合城乡规划,满足相应航道等级的通航要求及航运条件下桥梁的安全性要求。
1 位于内河航道上的桥梁,应符合现行国家标准《内河通航标准》GB 50139中关于水上过河建筑物选址的要求;
2 通航海轮的桥梁、桥位选择应符合现行行业标准《通航海轮桥梁通航标准》JTJ 311的规定;
3 位于通航河流或有漂流物的河流中的桥梁墩台,应考虑船舶或漂流物的撞击作用,撞击作用标准值按现行行业标准《公路桥涵设计通用规范》JTG D60的规定取值;对临近车行道、易受汽车撞击的桥墩应考虑汽车的撞击作用,撞击作用标准值按现行行业标准《公路桥涵设计通用规范》JTG D60的规定取值。必要时采取相应的防撞构造措施。
4.1.6 桥梁应根据道路的等级和使用要求设置必要的护栏及检修道。
1 桥梁人行道或检修道外侧必须设置人行道栏杆;
2 对主干路和次干路的桥梁,当两侧无人行道时,两侧应设检修道;
3 对主干路、次干路、支路的桥梁,当跨越急流、大河、深谷、重要道路、铁路、主要航道或桥面常有积雪、结冰时,外侧应采用加强栏杆;
4 对快速路桥、机动车专用桥的桥面两侧应设置防撞护栏。
4.1.7 市区、特别是老市区受条件限制在布设引道、引桥时易造成两侧街区出入交通堵塞,为保证消防、救护、抢险等车辆进出畅通,应结合引道、引桥、街区支路和防洪抢险的要求布设必要的通道,处理好与两侧街区交通的衔接。
4.1.8 桥面与地下通道应有完善的防水、排水设施。桥面必须设排水管将水排到地面排水系统中,不能直接将水排到桥下。应重视环保净化水源。
通常情况下,地下通道内需设排水泵,以保证地下通道路面车道排水畅通,减少路面薄层水影响,以保证行车安全。若地下通道路面积水较深,容易引发安全事故。
4.1.9 条文规定了桥梁结构要明确设计使用年限要求,并提出了为达到桥梁设计使用年限应采取的对策措施。
4.1.10 桥梁应根据城乡规划、城市环境、市容特点,进行绿化、美化市容和保护环境设计。对特大型和大型桥梁、高架道路桥、大型立交桥梁在工程建设前期应做环境影响评价,工程设计中应做相应的环境保护设计。
4.2 荷载
4.2.1 通过对城市桥梁车辆荷载标准、公路桥涵汽车荷载标准,以及两种荷载标准对梁式桥(包括简支梁、连续梁)产生的荷载效应和荷载效应组合进行详细的比较分析,结合现行行业标准《公路桥涵设计通用规范》JTG D60的调整结果,并进行城市桥梁相关荷载研究后,提出本条。
4.2.2 鉴于城市人口稠密,人行交通繁忙,对桥梁人行道的设计人群荷载作出相应的规定。
4.2.3 城市道路上的非机动车道布置形式多样,与机动车往往不做设施分隔,道路使用过程中,还可能发生路幅调整等情况,本条规定了非机动车荷载的取用应充分考虑使用过程行驶荷载的可能性,避免造成桥梁结构的损伤和破坏。
4.2.4 作用在人行道栏杆、扶手上的荷载仅考虑人群作用。这也是对局部构件的计算(只供计算栏杆、扶手用),不影响其他构件,而且规定水平和竖向荷载分别计算。
4.2.5 本规范未对除可变作用中的设计汽车荷载与人群荷载外的其他荷载作出规定。其他荷载及其作用与作用效应组合均执行现行行业标准《公路桥涵设计通用规范》JTG D60的有关规定。
4.3 结构
4.3.1 承载能力极限状态关系到结构的破坏和安全问题,体现了桥梁结构的安全性。桥梁结构或结构构件出现下列状态之一时,应认为超过承载能力极限状态:
1 整个结构或结构的一部分作为刚体失去平衡(如倾覆、滑移等);
2 结构构件或连接因材料强度被超过而破坏(包括疲劳破坏),或因过度变形而不适于继续承载;
3 结构转变为机动体系;
4 结构或结构构件丧失稳定(如压屈等)。
正常使用极限状态仅涉及结构的工作条件和性能,体现了桥梁结构的适用性和耐久性。当结构或结构构件出现下列状态之一时,应认为超过了正常使用极限状态:
1 影响正常使用或外观的变形;
2 影响正常使用或耐久性能的局部损坏(包括裂缝);
3 影响正常使用的振动;
4 影响正常使用的其他特定状态。
显然,这两类极限状态概括了结构的可靠性,只有每项设计都符合有关规范规定的两类极限状态设计要求,才能使所设计的桥梁结构满足下列功能要求:
1 在正常施工和正常使用时,能承受可能出现的各种作用;
2 在正常使用时,具有良好的工作性能;
3 在正常维护下,具有足够的耐久性能;
4 在设计规定的偶然事件发生时和发生后,能保持必需的整体稳定性。
4.3.2 现行国家标准《工程结构可靠性设计统一标准》GB 50153列出了不同安全等级所对应的桥梁类型,应根据桥梁的具体情况采用不低于现行国家标准《工程结构可靠性设计统一标准》GB 50153所列等级。
4.3.3 独柱单支点支承的梁桥及曲线梁桥,应选用具有足够抗扭刚度的结构形式及横断面形状,结构支承体系应满足桥梁上部结构的受力和变形要求。
对于曲线梁桥,特别是独柱支承的曲线梁桥,在温度变化、收缩、徐变、预加力、制动力、离心力等情况作用下,其平面变形与曲线梁桥的曲率半径、墩柱的抗推刚度、支承体系的约束情况及支座的剪切刚度密切相关,在设计中应采用满足梁体受力和变形要求的合理支承形式,并在墩顶设置防止梁体外移、倾覆的限位构造等。
4.3.4 位于通航河流中的桥梁墩台应根据通航航道等级及代表船型对应的船撞力进行防撞设计。
临近车行道、易受汽车撞击的桥梁墩及柱受汽车撞击作用的力值、位置可按现行行业标准《公路桥涵设计通用规范》JTG D60的规定取值。
4.3.5 桥梁倾覆将造成重大的财产损失和社会影响,故桥梁结构应具有足够的抗倾覆安全度,并应采取防止梁体外移、倾覆的限位构造等措施。
4.4 抗震
4.4.1 我国处于世界两大地震带即环太平洋地震带和亚欧地震带之间,是一个强震多发的国家。我国地震的特点是发生频率高、强度大、分布范围广、伤亡大、灾害严重。几乎所有的省市、自治区都发生过六级以上的破坏性地震。自20世纪80年代以来,国外发生的强烈地震,不仅造成了人员伤亡,而且造成了极大的经济损失。突发的强烈地震使建设成果毁于一旦,引发长期的社会政治、经济问题,并带来难以慰藉的感情创伤。桥梁是生命线系统工程中的重要组成部分,在抗震救灾中,城市交通运输网更是抢救人民生命财产和尽快恢复生产、重建家园、减轻次生灾害的重要环节,因此需要对基本地震动加速度峰值为0.05g及以上地区的城市桥梁进行抗震设计,并应采取抗震措施。
4.4.2 本规范从我国目前的具体情况出发,考虑到城市桥梁的重要性和在抗震救灾中的作用,本着确保重点和节约投资的原则,将不同桥梁给予不同的抗震安全度。具体来讲,将城市桥梁分为甲、乙、丙和丁四个抗震设防类别,其中甲类桥梁定义为悬索桥、斜拉桥和大跨度拱桥(跨度大于150m的拱桥定义为大跨度拱桥),这些桥梁承担交通量大,投资很大,而且在政治、经济上具有非常重要的地位;乙类桥梁为城市交通网络上枢纽位置的桥梁、快速路上的城市桥梁;丙类为城市主干路,轨道交通桥梁;丁类为除甲、乙、丙三类桥梁以外的其他桥梁。各类城市桥梁按照分类进行抗震设防后,在E1地震作用和E2地震作用下的抗震设防目标在程度上有所提高或降低。例如,虽然在E1地震作用下各类桥梁基本无损伤,但在E2地震作用下甲类城市桥梁的损坏是轻微甚至是基本完好的,而丙类城市桥梁在E2地震作用下可能发生破坏。
4.4.3 技术特别复杂的特大桥梁投资很大,在政治、经济上具有非常重要的地位,而且结构周期长,需要进行非线性时程地震反应分析。日前国家相关标准尚没有提供可供进行非线性时程地震反应分析所需的地震加速度时程。因此应按地震安全性评价确定这些桥梁地震动参数。
4.4.4 工程场地的类型对地震动参数有较大影响,采用土层等效剪切波速和场地覆盖层厚度的双参数分类方法将场地划分为五类,五类场地分别为岩石、坚硬土或软质岩石、中硬土、中软土和软弱土,这一分类方法得到了我国工程界的普遍认同,更能反映场地特性对地震动参数的影响。
4.4.5 桥梁减震或隔震设计是通过延长结构的基本周期,避开地震能量集中的范围,从而降低结构的地震力。但延长结构周期的同时,必然使得结构变柔,从而可能导致结构在正常使用荷载作用下结构发生有害振动,因此要求隔震结构应具有一定的刚度和屈服强度,保证在正常使用荷载下(如风、制动力等)结构不发生屈服和有害振动。
同时,采用减震或隔震设计的桥梁结构的变形比不采用减震或隔震技术的桥梁大,为了确保减隔震桥梁在地震作用下的预期性能,在相邻上部结构之间应设置足够的间隙,因此必须对伸缩缝装置、相邻梁间限位装置、防落梁装置等进行合理的设计,并对施工质量给予明确规定。
4.5 施工
4.5.1 本条规定对桥梁施工期间交通组织提出了要求,应当尽可能少的占用现况道路资源,尤其是大中型城市,由于交通流量大,实施导改有难度等诸多因素,亦可相对缩短工期,所以应优先采用预制化、机械化等对社会交通影响相对较小的施工工艺和工法,以对现况交通影响最小为出发点。城市道路是城市排水的地面主要汇集渠道,如在雨季内桥梁施工占用城市道路资源过多势必影响城市雨水的排出,增加城市内涝危险系数。桥梁的预制化和机械化施工,有利于缩短工期。
4.5.2 本条是各项工程建设施工的基本要求,对于桥梁工程尤其重要,尤其是近些年,桥梁类型多、跨径突破大、技术进步快,桥梁施工技术更加复杂,对于影响结构安全和使用功能的重点部位和关键工序多,因此在施工前制定专项方案和措施是满足安全、质量、环保要求并实现设计意图的重要前提和保证。
4.5.3 安全质量控制一直是桥梁工程施工现场管理的重点和难点,本条对桥梁工程施工所需的机械设备和工装设备进行了规定。无论是通用设备如钻机、吊车、浮吊等,还是专用设备如架桥机、缆索吊机等都必须具有足够的强度、刚度和整体稳定性,必须定期检查和检验,保持良好的工作状态,同时应控制设备废气排放、减少噪声污染,满足工艺、安全和环保要求。
4.5.4 桥梁工程以往发生的重大安全事故和重大质量事故通常与模板、支架、拱架及深基坑工程相关,模板、支架及深基坑支护的全过程控制包括从设计、施工到最终拆除,其必须具有足够强度、刚度和稳定性以保证具有与结构要求和工艺要求相匹配的承载能力、抗变形能力和稳定性,同时还应足够坚固和稳定以抵抗施工过程中可能发生的震动和偶然撞击。
4.5.5 安全防护是桥梁施工的重点保证措施,是基本要求,应贯穿施工全过程,除保证施工安全和结构安全外还应采取措施保护施工所在地的生态环境,降低或减少对环境的不良影响。
5 隧道
5.1 一般规定
5.1.1 本条对隧道设计的基本要求作了规定,强调了社会、环境及交通功能的协调性,提出节省资源、减少与其他公用设施的矛盾的设计要点。
5.1.2 勘测、调查资料是隧道选址、总体布置和结构设计以及编制工程投资等的设计工作的依据,应齐全、准确;地形、地质、水文、气象、环境、地震以及交通量、交通功能、施工和营运条件都是隧道设计应综合考虑的主要因素;通过多方案比选,选择较为合适的推荐方案。
5.1.3 隧道灾害多由交通事故引起,而交通事故往往会引发火灾导致严重的事故后果。隧道防灾设计以防火灾和人员逃生为主。
5.1.4 本条规定处于抗震设防区的隧道必须进行抗震设计。
5.1.5 设计使用年限是设计规定的一个时期,在这一规定时期内结构只需要进行正常维护(包括必要的检测、养护、维修等)就能按预期目的使用,完成预定功能,即隧道主体结构在正常设计、正常施工、正常使用、正常维护下达到的使用年限。
5.1.6 隧道工程建设环境复杂,施工作业条件差,隧道施工具有特殊性。为此本条强调保护施工人员身体健康和人身安全,保证工程质量,做到文明施工。
5.2 总体布置
5.2.1 隧道总体设计非常重要,它是隧道项目建设成败的关键,本条提出了总体布置应满足的设计条件。隧道总体布置及配套运营管理设施包括隧道营运管理中心、泵房、变电所、通风机房、地面风井、出入口、应急车辆停车场、检查亭、收费卡口等。
5.2.2 隧道是地下工程,建设的地质条件极为重要,它是直接影响工程造价的主要因素之一,甚至决定工程的成败。隧道设计、施工过程应高度重视地质勘察工作。
5.2.3 隧道平面线形的设计与地面道路基本一致,但在总体布置、设计原则、考虑因素、相关技术指标方面有一定差异,以适应隧道的建设要求。在条件许可的情况下,隧道平曲线半径应尽可能取大值,有利于行车视距保证及通风,避免设超高或加宽,减小结构设计和施工难度。隧道曲线半径取值还应考虑施工工法,如盾构法隧道应尽量采用大半径曲线,沉埋管法隧道应尽量采用直线形式。
5.2.4 隧道出口设置平面交叉口(包括灯控平面交叉口),会对隧道产生交通阻滞,恶化隧道营运环境,造成交通安全事故;必须设置时,应对隧道产生的交通阻滞状况进行评价分析,并采取与隧道控制系统联控的措施进行灯控管理。如地面道路交叉口与隧道出口的距离过近,驾驶人对交叉口的识别视距不足,行车安全隐患极大,因此,从提高行车安全角度,应严格控制出洞口与平面交叉口的距离。
5.2.5 隧道内最小纵坡值应以隧道建成后洞内水能自然排泄为原则。最大纵坡主要考虑到营运期车辆行驶安全性和运营车辆尾气排放和通风的要求。
5.2.6 隧道横断面空间大致由交通通行空间、设施设备空间和安全空间组成。隧道建设成本高,受既有地下设施影响制约因素多、施工条件复杂,横断面要素的微小变化对工程经济和可实施性有重大影响宜综合考虑,优化设计。
5.2.7 隧道火灾会导致严重的事故后果。布置可燃气体管道与隧道防灾设计矛盾。
5.2.8 主隧道的每孔为一个防火分区。人行疏散通道、横通道应与车道设为不同的防火分区。
5.2.9 隧道内通行公共电汽车、有轨电车等高密度、高乘载客运车辆时,应做火灾工况下客流疏散逃生分析,必要时应进行消防疏散、救援的专项研究论证,由此制定出切实可行的救援组织实施流程、安全可靠的消防系统、合理的通风排烟方式、快速逃离火场的疏散方式,以满足火灾工况下客流疏散逃生的要求。
5.3 结构
5.3.1 隧道结构形式和施工方法应根据建设条件、地质条件和环境要求确定,目前主要有:用盾构法施工的衬砌结构、用沉管法施工的管段结构、围护明挖施工的现浇结构和钻爆法开挖的复合式衬砌结构。为保证设计使用年限,必须保证主体结构的强度、稳定性和耐久性。
5.3.2 隧道结构应采用以概率理论为基础的极限状态设计方法,采用分项系数的设计表达式按承载能力、正常使用状态的要求进行计算和验算。
5.3.3 隧道洞口、洞门、浅埋、偏压、断层破碎带和结构接头处易受震害。
5.3.4 隧道结构耐久性设计,包括所处的环境类别的分类、环境作用等级等内容。隧道结构耐久性设计原则:①根据所处的环境类别、环境作用等级,采用基于耐久性所需的混凝土原材料、混凝土配合比、混凝土耐久性参数的指标;②采用合理的结构布置、结构构造,以满足使用过程中检查、维护要求;③提出对混凝土施工过程的质量控制要求。
5.3.5 隧道防水设计应遵循“以结构自防水为根本,以接缝防水为重点,多道防线,综合治理”的理念,采取与其相适应的防水措施。
5.4 设备及设施
5.4.1 隧道通风系统设计在满足功能的前提下,尚应注意对周边环境的影响,如风机噪声的影响、污染空气对洞口及通风塔周边空气质量的影响,通风塔对景观的影响等。系统设置应考虑节能运营的要求。
5.4.2 隧道的避难设施内设置独立的机械加压送风系统,以满足防烟的要求,余压值为30Pa~50Pa。避难设施指专用避难通道及其前室、独立的避难所、火灾时不能撤离的附属用房。
5.4.3 隧道周边无市政给水管网,需采用其他水源时,如溪水、河水、地下水等水源,要保证供水可靠,水质要满足各系统的水质要求。
5.4.4 隧道内排水主要为排除渗水、雨水、隧道清洗水、消防废水等,水质各不相同,排水应分类集中,采用高水高排、低水低排互不连通的系统就近排放,并应采取防止事故时可燃液体或有害液体沿隧道漫流的措施。对于不能重力流排出的部分,应设置提升泵站排出。排水纳入城市水体或城市排水管网的各类废水水质应符合国家现行相关标准和当地排水标准的规定。
5.4.5 隧道内火灾主要由汽车交通事故、汽车燃烧引起,火灾类型有A、B、C类和金属火灾,以B类火灾为主,隧道消防系统根据火灾特点进行消防设计。市政供水设施、天然水源不能满足隧道消防供水要求的,应设置消防水池;消防水池应设置在隧道外。
5.4.6 由于人眼视觉细胞的暗适应和明适应需要一定的转换时间,驾驶员进入隧道直至离开隧道,会遇到很多视觉问题。为解决这些视觉问题,隧道日间照明和夜间照明应能提供适宜的能见度等级,通过设置必要的洞口内外光照过渡设施,减少隧道洞口内外亮度差对驾乘安全和行车舒适的影响。
5.4.7 隧道电力负荷应根据供电可靠性和中断供电对交通安全和紧急疏散造成的损失或影响程度确定负荷等级。应恰当地选择符合实际水平的供电方式,提高投资的经济效益,保护人员生命安全。
5.4.8 隧道综合监控系统是隧道安全运营的重要保障,同时也是在隧道发生交通事故或火灾等紧急事件时提高救助效率的重要手段。综合监控系统还应为今后交通运行状况变化及未来设备技术升级完善留有空间。
5.5 施工
5.5.1 隧道施工具有特殊性,为强调保护施工人员身体健康和安全特制定本条。
5.5.2 隧道工程施工测量和复测系统非常重要,必须加以重视,以保证施工安全和工程质量。
5.5.3 为了强调施工的科学、系统,避免盲目施工,作出强制规定。隧道施工必须严格按照设计文件进行,但由于地质条件的复杂性,实际的地质情况可能与设计文件所提供的地质资料并不相符,为保证隧道施工的安全性,应做好地质预测、预报,实施动态管理。
5.5.4 隧道监控量测方案除包括在一般情况下的方案外,还应包括可能因变形等引发塌方施工安全事故时应采取的应急监测方案,以便满足对突发异常变形或抢险等对监控量测的需要。地质情况不明就盲目开挖是造成塌方的原因之一,本条明确了何时必须探明前方的地质情况。
6 交通安全和管理设施
6.1 一般规定
6.1.1 城市道路(包括公共停车场及城市广场)根据不同的道路性质和规划要求、不同的沿线环境和交通特征进行的总体设计和交通组织设计方案是道路交通设施设计的依据。同时,设计道路交通组织方案也协调了周边路网的交通组织,交通设施设计范围除了设计道路外还应包含周边影响范围内的相关道路,以使设计道路与周边相关道路在交通标志标线设施上能互相指引或警示,在交通监控系统上能互相包容和信息交换。
6.1.2 城市道路交通设施涉及的专业类别多,各城市对应的城市道路管理部门也多,交通设施设计工作较为复杂,与道路主体工程设计存在着互为设计条件的情况。要求与道路土建工程同步设计实施,是为了保证与主体工程设计相互协调,有利于各工程布设合理、功能充分发挥,避免设计返工甚至是工程返工的浪费,同时保证道路开通后的交通安全。
6.2 交通安全设施
6.2.1 交通路权概念不仅应用在交通事故处理中,更重要的是应用在事先的交通组织和控制措施中,设置简明、正确的交通标志和标线指示交通路权、通行规则及路径指示等信息,能达到消除或减少交通冲突,预防和减少交通事故,保障道路交通安全、畅通的目的。
6.2.2 交通标志设置既要实现自身功能,又不能影响道路通行安全。条文提出了交通标志不能侵入道路建筑限界,又不得被桥墩、柱、树木等其他物体遮挡。如果有物体对交通标志遮挡,轻者会引起道路上车辆车速降低,交通秩序和交通流紊乱,重者会造成交通冲突,甚至造成交通事故。当前在各地城市道路上还是存在着交通标志被遮挡的现象,一方面需要城市管理引起重视,同时也必须在规范上予以明确规定。
6.2.3 标志的内容要简明准确,指路标志版面设计应避免信息过载或信息不足,便于道路使用者识认。指路标志上的道路名称和地名采用经地名管理机关确认的标准地名,根据需要也可采用历史沿用、公众认知度高的名称。
交通标志版面颜色及反射的各项技术指标应符合现行国家标准《道路交通反光膜》GB/T 18833的有关规定。隧道内在紧急情况下安全逃生和救险要求较高,相应的人员在识认时不具备反射识认的条件,规定应急、消防、避险等指示标志应采用主动发光标志或照明式标志。
指路标志版面文字可并用汉字和其他文字对照形式。根据城市规模、性质及特点,对不同道路等级是否采用汉字和其他文字对照,可有不同要求。但对各城市旅游区,对外开放的重要商贸、旅游景点、国际性活动场所等处的指路标志宜采用中英文对照形式。
标线的可视性受路面清洁程度以及天气的影响很大,尘土、雨、雪的覆盖以及夜间条件会较大地降低标线的可视性,因此对标线的不粘污性以及在不利天气下的视认性提出要求,以保证交通安全和交通效率。
6.2.4 交通标志结构设计应满足功能要求和安全性的要求,要保证结构有足够的强度、刚度和稳定性。各种标志结构的尺寸、连接方式、土建基础等,应根据设置地点的风速、标志版面大小、材料等由计算确定。
6.2.5 路面标线涂料种类较多,其性能应满足一定使用期内车轮碾压和环境条件的影响作用,并应符合道路路面抗滑要求及环保要求。
6.2.6 如果快速路中央带和路侧有足够安全净距,或提供足够宽的无阻碍的恢复区,驶出路外的车辆就可以靠自己恢复正常行驶,不会酿成严重事故。否则应设置防撞护栏。
根据交通事故调查,在快速路的主线分流区、快速路匝道出口处等位置,属于危险三角区,容易发生车辆碰撞事故。快速路分流区和匝道出口处小客车的运行速度往往不能按规定降速,这些路段是恶性事故多发的路段。另外,互通式立体交叉匝道和隧道内主线分流端也是事故多发的路段,因此,这些部位需设置防撞设施,以降低事故发生时对事故车辆和内部乘员的伤害程度。
6.2.7 决定是否设置路侧护栏或高路缘石的主要因素是车辆越出路外的事故严重程度。在事故中,除越出路外车辆及车上人员外,还有可能造成其他人员伤亡和财产损失。当行驶车速相对较高,路侧紧邻车行道有桥墩、灯杆、标志杆及其他障碍物时,或道路外侧高差较大有跌落危险时,车辆越出路外的后果可能较严重;车辆越出路外可能与其他车辆、集中的人群、高危险的设施等相撞,造成严重事故或二次事故。这些情况需要设置防撞护栏或高路缘石予以预防。
6.2.8 主干路流量大、车速快,应根据具体情况采取必要的措施以保证交通安全,这对于发挥主干路交通功能作用也是需要的。
6.2.9 本条规定目的为防止行人意外跌落。
6.2.10 隔离设施有隔离栅或绿障等,设置目的是防止行人进入机动车快速行驶的道路。城市快速路或立体交叉的高标准匝道,若没有阻隔设施,行人可能会横穿车道,而这些道路作为车流连续流道路,驾驶员对于局部路段人流横穿车道缺乏思想准备,极易造成人车相撞事故,因此应设置必要的隔离设施阻隔行人穿越。
6.2.11 防落物网的设置目的,是为了防止桥梁上跨快速行驶的通道时,桥梁上的行人不经意间撒落硬物、桥上杂物被风吹到桥下或桥上车辆装载的物品撒落到桥下,造成快速行驶的车辆以较高的相对速度与硬物相撞,或散落的物品造成车辆非正常行驶,造成交通事故及对公民人身和财产的伤害。
6.2.12 防撞护栏是一种纵向结构设施,通过自身变形或迫使车辆爬高来吸收车辆的碰撞能量,以达到最大限度减少事故损失的目的。防撞护栏的设置应实现以下功能:
1 阻止事故车辆越出路外或进入对向车道;
2 使事故车辆回到正常行驶方向;
3 最大限度地减少乘员的伤亡;
4 诱导驾驶员的视线。
防撞垫在受到车辆碰撞时,通过自身的结构变形吸收碰撞能量,减轻对乘员的伤害程度。根据防撞垫的导向功能,可分为可导向防撞垫和非导向防撞垫。防撞垫应具有以下功能:
1 车辆正面碰撞或斜向碰撞时具有良好的吸能能力,减轻乘客伤害程度;
2 对于可导向防撞垫,车辆侧面碰撞时,能改变车辆的碰撞角度,并将车辆导向正确方向。
防撞设施等级的选择与车辆质量、车速、车辆越出路外的危险程度等因素有关,设计时应合理确定。
6.3 交通管理设施
6.3.1 道路使用者包括机动车、非机动车驾驶员及行人等,交通信号灯应能被所有的道路使用者清晰、准确地识别。对于行人信号灯,尤其要确保儿童、老人、残障人士能清晰、准确地识别和方便地使用。
为保证交通信号能被清晰、准确地识别,城市主干路宜左右各设1组,有利于各车道车辆的视认,并可作为故障备份。当路口较宽导致信号灯视认距离过长时,应设置远近2套灯组。
6.3.2 通常情况下,城市道路的等级规模是根据交通需求确定的,因此道路等级与交通量成正比。考虑到交通监控系统是新兴发展的学科,又与经济发展水平密切相关,且国内城市经济发展不平衡等因素,在工程建设时应结合道路交通量、管理需求和经济能力等实际情况,参照相关规范的规定执行。
根据桥梁、隧道及道路性质将交通监控系统配置分为不同等级,监控系统配置还应充分考虑与道路服务水平相匹配。